ГОСТ Р ИСО 8573-2-2019 Сжатый воздух. Часть 2. Методы контроля содержания масел в виде аэрозолей
ГОСТ Р ИСО
Скачать ГОСТ в PDF или DOC бесплатно
Основная информация
Обозначение:
ГОСТ Р ИСО 8573-2-2019
Статус:
Действует
Тип:
ГОСТ Р ИСО
Название русское:
Сжатый воздух. Часть 2. Методы контроля содержания масел в виде аэрозолей
Название английское:
Compressed air. Part 2. Test methods for oil aerosol content
Даты и сроки
Дата издания:
09-19-19
Дата введения в действие:
12-01-19
Дата завершения срока действия:
-
Применение и описание
Область и условия применения:
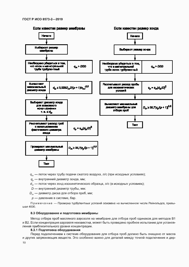
Настоящий стандарт устанавливает методы отбора проб для количественной оценки содержания масел в аэрозольной и жидкой формах, присутствующих в сжатом воздухе. Методы испытаний паров масла исключены из настоящего стандарта, так как приведены в ИСО 8573-5. В настоящем стандарте представлены два метода контроля А и В: метод В включает в себя две методики отбора проб для количественного анализа содержания масел; метод А - отбор проб с содержанием масла через объединенные фильтры. Причем при применении метода B для отбора проб используют мембраны, пропитанные растворителем и закрепленные в держателе, которые могут напрямую быть проанализированы ИК-спектрометром или газовым хроматографом с ионизирующим плазменным детектором
Связи и замены
Заменяющий:
-
Взамен:
ГОСТ Р ИСО 8573-2-2005
Описание стандарта
ГОСТ Р ИСО 8573-2-2019 Сжатый воздух. Часть 2. Методы контроля содержания масел в виде аэрозолей
Страницы стандарта












































