ГОСТ Р ИСО/HL7 27931-2015 Информатизация здоровья. Health Level Seven Version 2.5. Прикладной протокол электронного обмена данными в организациях здравоохранения
Прочее...
Скачать ГОСТ в PDF или DOC бесплатно
Основная информация
Обозначение:
ГОСТ Р ИСО/HL7 27931-2015
Статус:
Действует
Тип:
Прочее...
Название русское:
Информатизация здоровья. Health Level Seven Version 2.5. Прикладной протокол электронного обмена данными в организациях здравоохранения
Название английское:
Data Exchange Standards. Health Level Seven Version 2.5. An application protocol for electronic data exchange in healthcare environments
Даты и сроки
Дата издания:
09-06-16
Дата введения в действие:
11-01-16
Дата завершения срока действия:
-
Применение и описание
Область и условия применения:
Стандарт ИСО/HL7 27931:2009 определяет прикладной протокол электронного обмена данными в организациях здравоохранения
Связи и замены
Заменяющий:
-
Описание стандарта
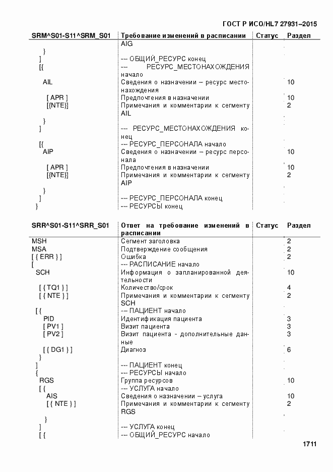
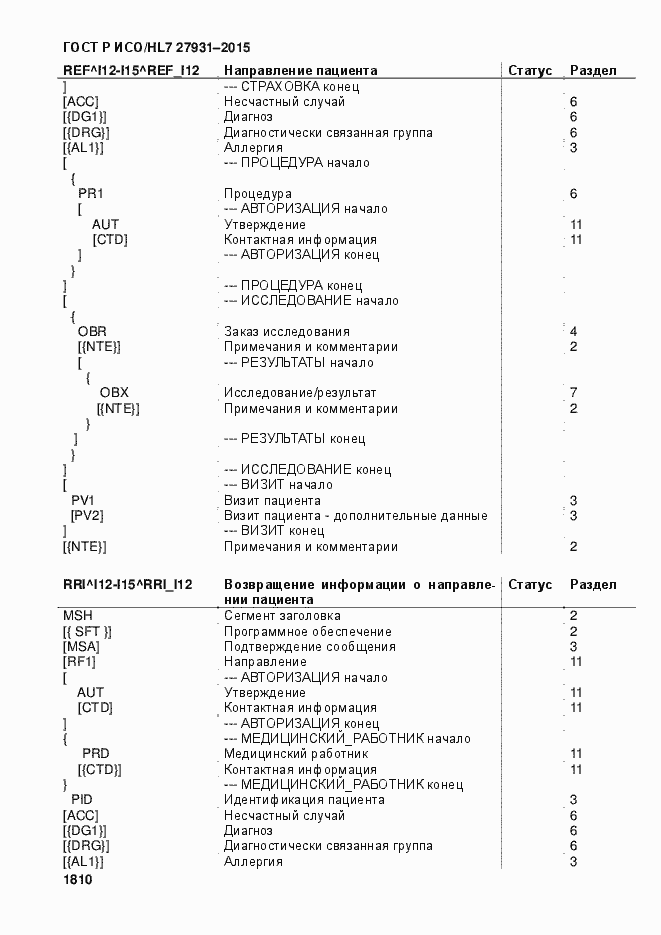
ГОСТ Р ИСО/HL7 27931-2015 Информатизация здоровья. Health Level Seven Version 2.5. Прикладной протокол электронного обмена данными в организациях здравоохранения
Страницы стандарта



























































































































































































































































































































































































































































































































































































































































































































































































































































































































































































































































































































































































































































































































































































































































































































































































































































































































































































































































































































































































































































































































































































































































































































































































































































































































































