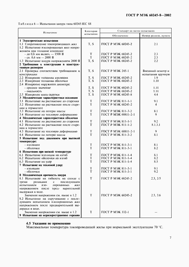
ГОСТ Р МЭК 60245-8-2002 Кабели с резиновой изоляцией на номинальное напряжение до 450/750 В включительно. Шнуры для областей применения, требующих высокой гибкости
ГОСТ Р МЭК
Скачать ГОСТ в PDF или DOC бесплатно
Основная информация
Обозначение:
ГОСТ Р МЭК 60245-8-2002
Статус:
Заменен
Тип:
ГОСТ Р МЭК
Название русское:
Кабели с резиновой изоляцией на номинальное напряжение до 450/750 В включительно. Шнуры для областей применения, требующих высокой гибкости
Название английское:
Rubber insulated cables of rated voltages up to and including 450/750 V. Cords for applications requiring high flexibility
Даты и сроки
Дата издания:
04-29-02
Дата введения в действие:
07-01-02
Дата завершения срока действия:
01-01-09
Применение и описание
Область и условия применения:
Настоящий стандарт устанавливает технические требования к шнурам с изоляцией и оболочкой из резины или сшитого поливинилхлоридного пластиката на номинальное напряжение до 300/300 В для областей применения, требующих высокой гибкости, например, для электрических утюгов
Связи и замены
Заменяющий:
ГОСТ Р МЭК 60245-8-2008
Описание стандарта
ГОСТ Р МЭК 60245-8-2002 Кабели с резиновой изоляцией на номинальное напряжение до 450/750 В включительно. Шнуры для областей применения, требующих высокой гибкости
Страницы стандарта












