ГОСТ Р МЭК 60317-0-1-2022 Технические условия на обмоточные провода конкретных типов. Часть 0-1. Общие требования. Провод медный круглый эмалированный
ГОСТ Р МЭК
Скачать ГОСТ в PDF или DOC бесплатно
Основная информация
Обозначение:
ГОСТ Р МЭК 60317-0-1-2022
Статус:
Действует
Тип:
ГОСТ Р МЭК
Название русское:
Технические условия на обмоточные провода конкретных типов. Часть 0-1. Общие требования. Провод медный круглый эмалированный
Название английское:
Specifications for particular types of winding wires. Part 0-1. General requirements. Enamelled round copper wire
Даты и сроки
Дата издания:
06-14-22
Дата введения в действие:
09-01-22
Дата завершения срока действия:
-
Применение и описание
Область и условия применения:
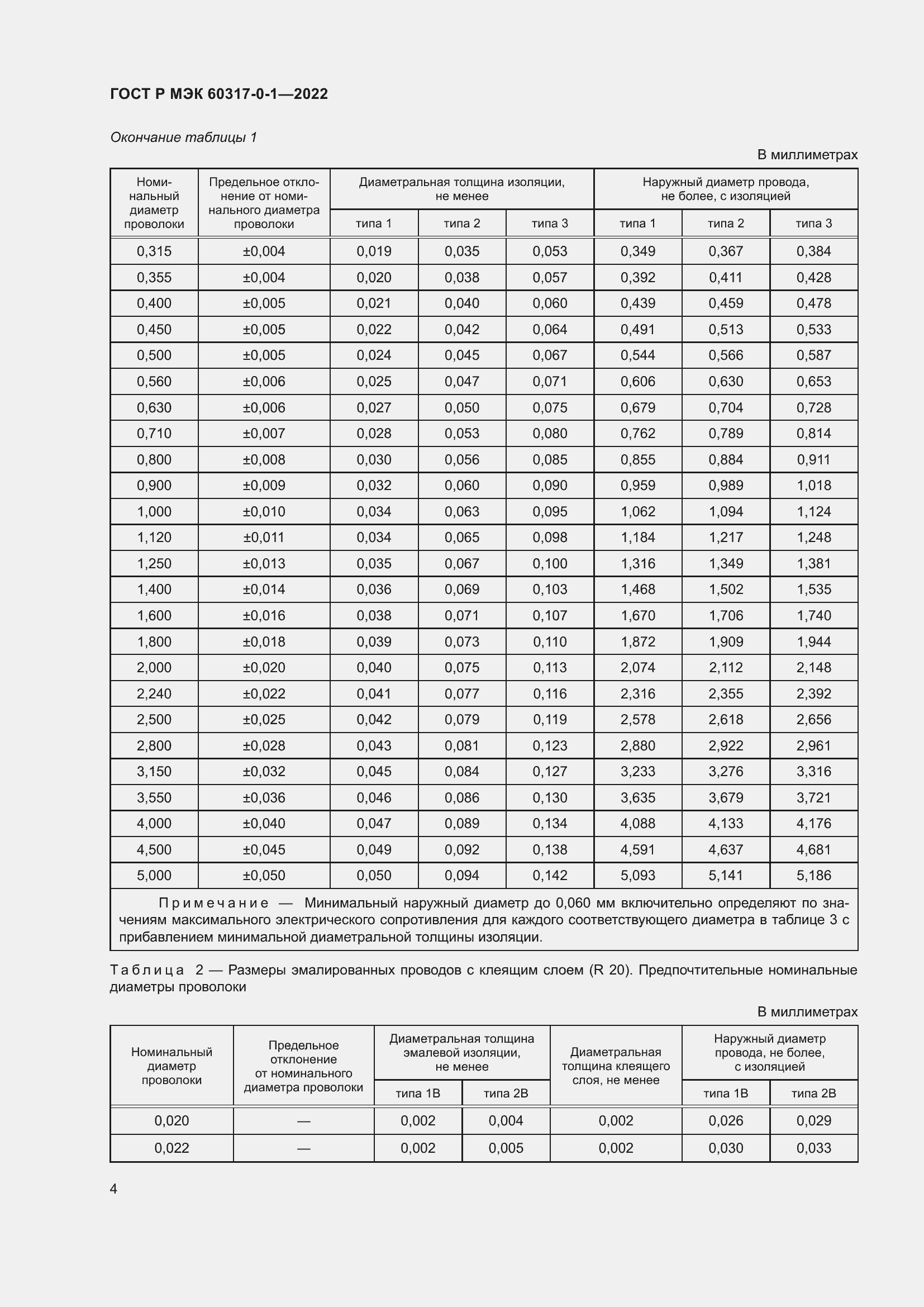
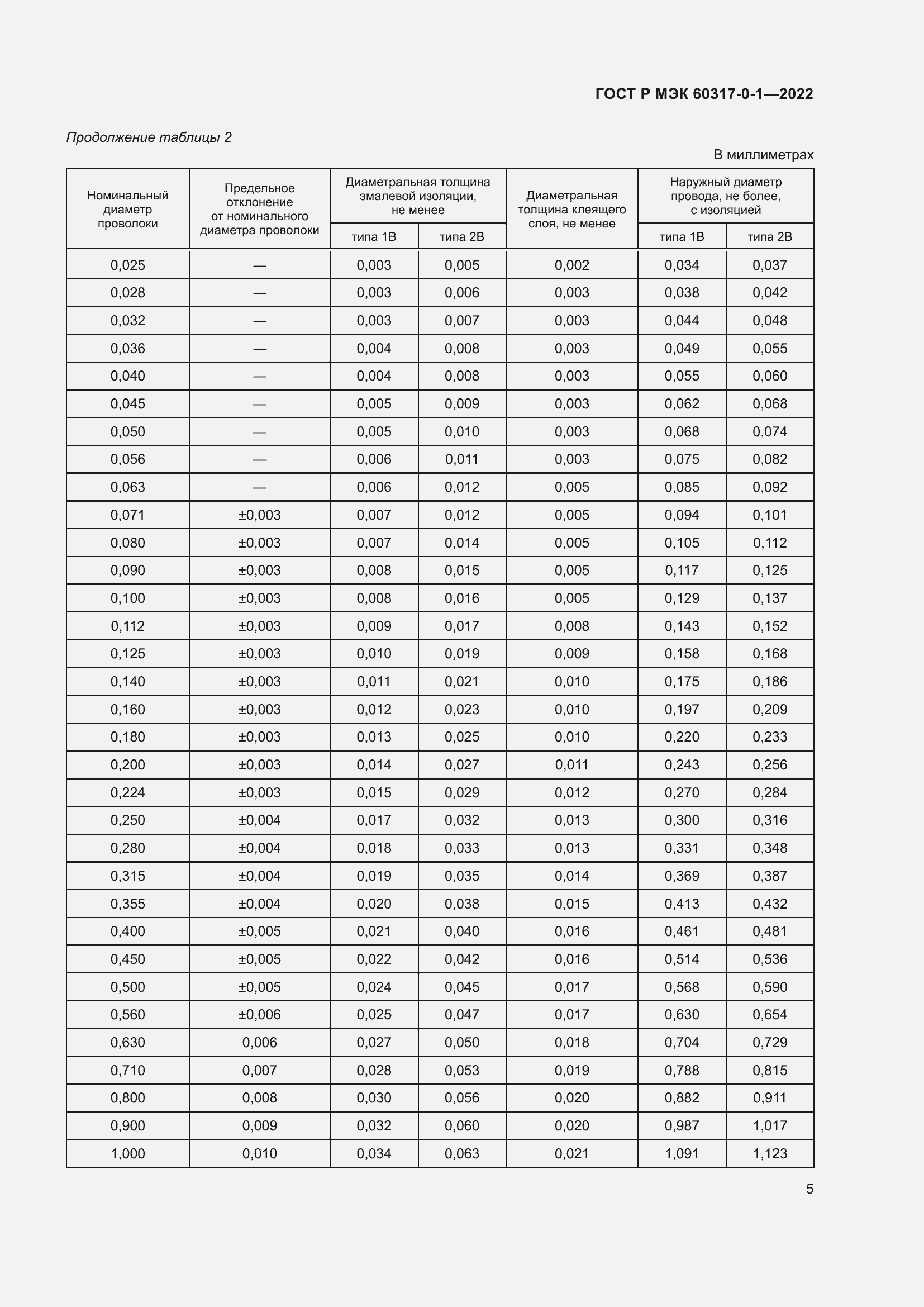
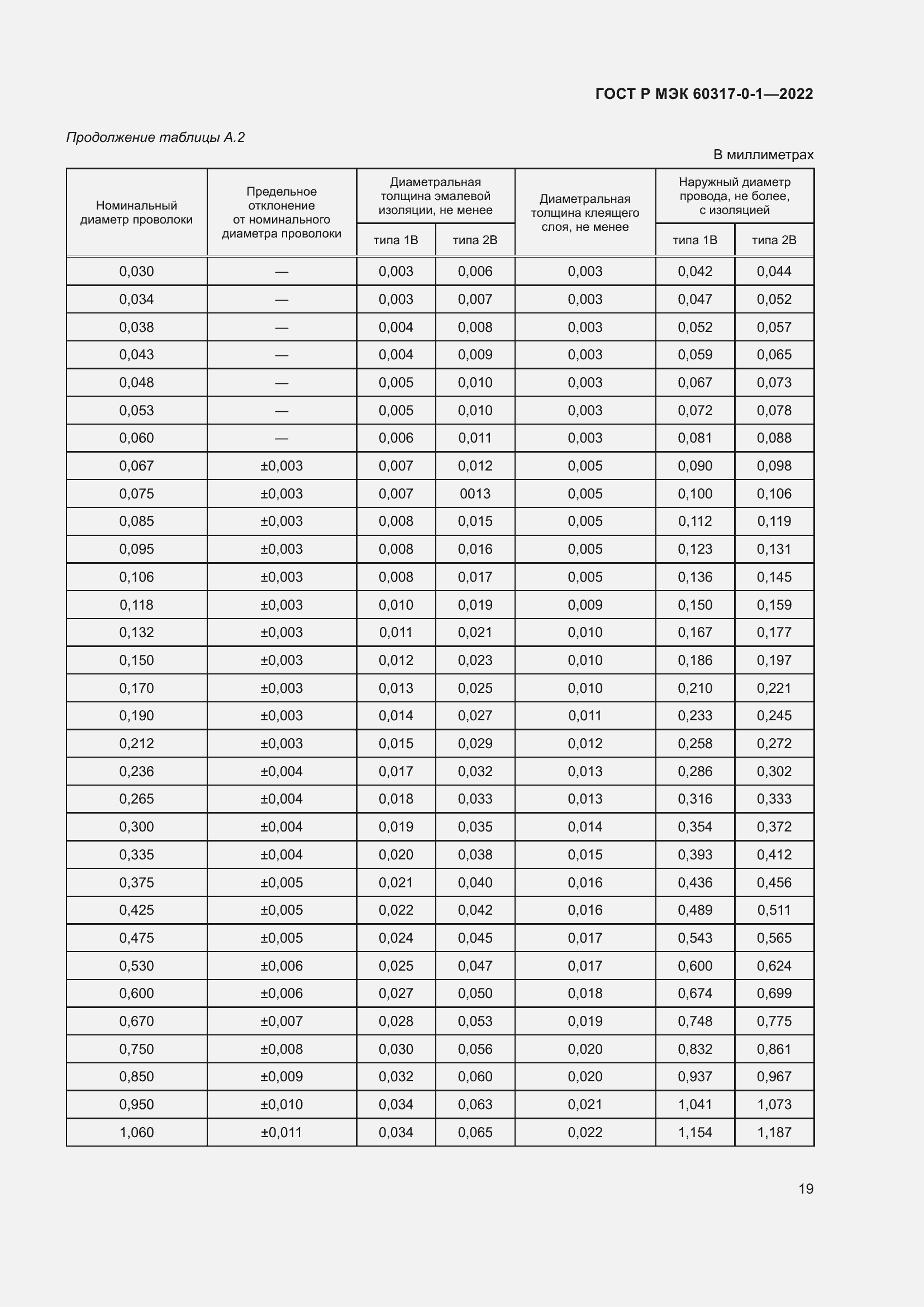
Настоящий стандарт устанавливает общие требования к обмоточным проводам медным круглым эмалированным с клеящим слоем или без него (далее – провода). Диапазон номинальных диаметров проволоки приводят в нормативных документах на провода конкретных типов
Связи и замены
Заменяющий:
-
Взамен:
ГОСТ Р МЭК 60317-0-1-2013
Описание стандарта
ГОСТ Р МЭК 60317-0-1-2022 Технические условия на обмоточные провода конкретных типов. Часть 0-1. Общие требования. Провод медный круглый эмалированный
Страницы стандарта































