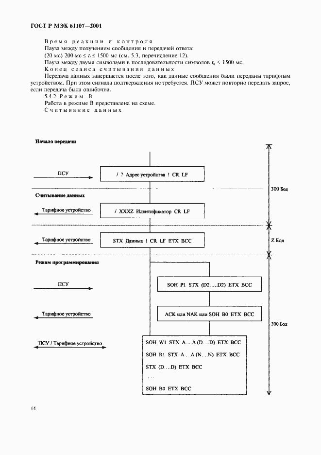
ГОСТ Р МЭК 61107-2001 Обмен данными при считывании показаний счетчиков, тарификации и управлении нагрузкой. Прямой локальный обмен данными
ГОСТ Р МЭК
Скачать ГОСТ в PDF или DOC бесплатно
Основная информация
Обозначение:
ГОСТ Р МЭК 61107-2001
Статус:
Отменен
Тип:
ГОСТ Р МЭК
Название русское:
Обмен данными при считывании показаний счетчиков, тарификации и управлении нагрузкой. Прямой локальный обмен данными
Название английское:
Data exchange for meter reading, tariff and load control. Direct local data exchange
Даты и сроки
Дата издания:
02-01-07
Дата введения в действие:
01-01-03
Дата завершения срока действия:
01-01-13
Применение и описание
Область и условия применения:
Настоящий стандарт устанавливает требования, предъявляемые к аппаратным средствам и протоколам для локальных систем. Требования стандарта не распространяются на дистанционные системы. Стандарт распространяется на прямые локальные системы, в которых портативное считывающее устройство соединяется с одним или группой тарифных устройств
Связи и замены
Заменяющий:
-
Изменения и переиздания
Список изменений:
№0 от (рег. ) «Текстовое изменение; Изменено заглавие»
Описание стандарта
ГОСТ Р МЭК 61107-2001 Обмен данными при считывании показаний счетчиков, тарификации и управлении нагрузкой. Прямой локальный обмен данными
Страницы стандарта














































