ГОСТ Р МЭК 61226-2023 Системы контроля и управления и электроэнергетические системы, важные для безопасности атомных станций, и выполняемые ими функции. Классификация
ГОСТ Р МЭК
Скачать ГОСТ в PDF или DOC бесплатно
Основная информация
Обозначение:
ГОСТ Р МЭК 61226-2023
Статус:
Действует
Тип:
ГОСТ Р МЭК
Название русское:
Системы контроля и управления и электроэнергетические системы, важные для безопасности атомных станций, и выполняемые ими функции. Классификация
Название английское:
Instrumentation, control and electrical power systems important to safety of nuclear power plants and the functions performed by them. Classification
Даты и сроки
Дата издания:
06-23-23
Дата введения в действие:
09-01-23
Дата завершения срока действия:
-
Применение и описание
Область и условия применения:
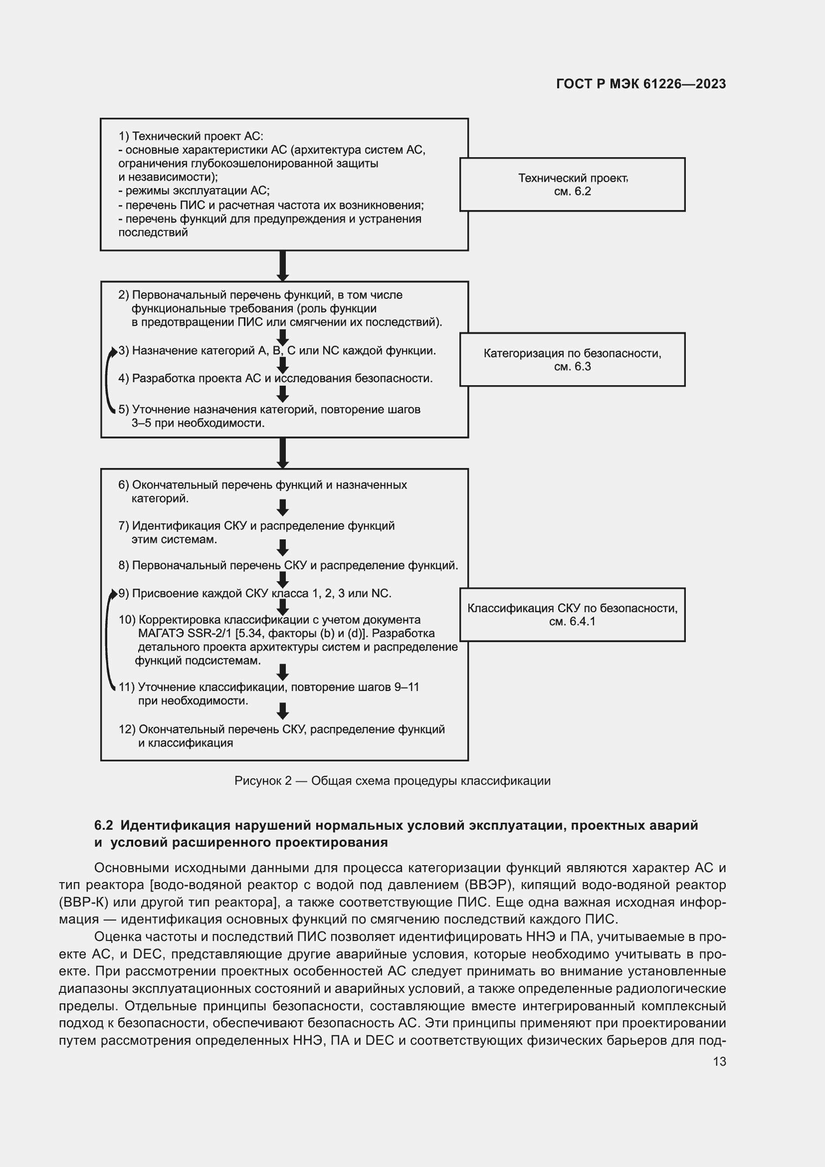
Настоящий стандарт устанавливает метод назначения категорий функциям, определенным для атомных станций (АС)) Область применения настоящего стандарта соответствует области применения документов МАГАТЭ SSR-2/1 и SSG-30, на основе которых он разработан.), в соответствии с их важностью для обеспечения безопасности. Последующая классификация систем контроля и управления (СКУ) и электроэнергетических систем, выполняющих или поддерживающих данные функции, основана на назначенных категориях и определяет соответствующие критерии проектирования. На практике критерии проектирования обеспечивают выполнение каждой функции в соответствии с ее важностью для безопасности АС. В настоящем стандарте учтены такие критерии, как функциональность, надежность, производительность, устойчивость к воздействию внешней среды (например, сейсмостойкость) и обеспечение качества (ОК)
Связи и замены
Заменяющий:
-
Взамен:
ГОСТ Р МЭК 61226-2011
Описание стандарта
ГОСТ Р МЭК 61226-2023 Системы контроля и управления и электроэнергетические системы, важные для безопасности атомных станций, и выполняемые ими функции. Классификация
Страницы стандарта







































