ГОСТ Р МЭК 61869-2-2015 Трансформаторы измерительные. Часть 2. Дополнительные требования к трансформаторам тока
ГОСТ Р МЭК
Скачать ГОСТ в PDF или DOC бесплатно
Основная информация
Обозначение:
ГОСТ Р МЭК 61869-2-2015
Статус:
Действует
Тип:
ГОСТ Р МЭК
Название русское:
Трансформаторы измерительные. Часть 2. Дополнительные требования к трансформаторам тока
Название английское:
Instrument transformers. Part 2. Additional requirements for current transformers
Даты и сроки
Дата издания:
02-25-16
Дата введения в действие:
03-01-16
Дата завершения срока действия:
-
Применение и описание
Область и условия применения:
Настоящий стандарт распространяется на индуктивные трансформаторы тока нового поколения, предназначенные для использования с электрическими измерительными приборами и электрическими защитными устройствами при номинальных частотах от 15 до 100 Гц
Связи и замены
Заменяющий:
-
Описание стандарта
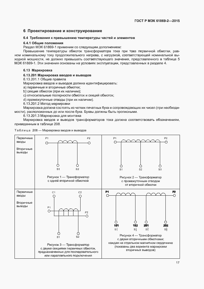
ГОСТ Р МЭК 61869-2-2015 Трансформаторы измерительные. Часть 2. Дополнительные требования к трансформаторам тока
Страницы стандарта

























































