ГОСТ Р 56893-2016 Стерилизация медицинской продукции. Влажное тепло. Часть 2. Руководство по применению стандарта ИСО 17665-1
ГОСТ Р
Скачать ГОСТ в PDF или DOC бесплатно
Основная информация
Обозначение:
ГОСТ Р 56893-2016
Статус:
Действует
Тип:
ГОСТ Р
Название русское:
Стерилизация медицинской продукции. Влажное тепло. Часть 2. Руководство по применению стандарта ИСО 17665-1
Название английское:
Sterilization of health care products. Moist heat. Part 2. Guidance on the application of ISO 17665-1
Даты и сроки
Дата издания:
04-18-16
Дата введения в действие:
03-01-17
Дата завершения срока действия:
-
Применение и описание
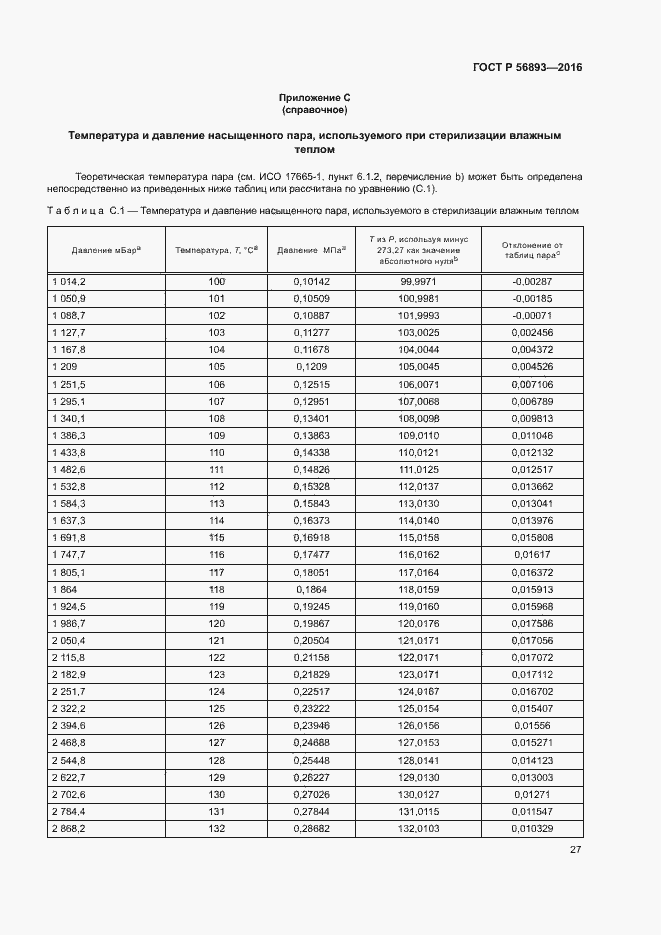
Область и условия применения:
Данная техническая спецификация обеспечивает общее руководство при разработке, валидации и текущем контроле процессов стерилизации влажным теплом и предназначена для разъяснения требований, изложенных в стандарте ИСО 17665-1. Указания, приведенные в настоящей технической спецификации, предназначены для продвижения правильных практик, имеющих отношение к процессам стерилизации влажным теплом и для оказания помощи тем, кто разрабатывает и валидирует процессы стерилизации влажным теплом в соответствии с требованиями стандарта ИСО 17665-1
Связи и замены
Заменяющий:
-
Описание стандарта
ГОСТ Р 56893-2016 Стерилизация медицинской продукции. Влажное тепло. Часть 2. Руководство по применению стандарта ИСО 17665-1
Страницы стандарта













































