ГОСТ ISO 11140-3-2011 Стерилизация медицинской продукции. Химические индикаторы. Часть 3. Тест-листы к индикаторам 2-го класса для испытаний на проникание пара
ГОСТ ИСО
Скачать ГОСТ в PDF или DOC бесплатно
Основная информация
Обозначение:
ГОСТ ISO 11140-3-2011
Статус:
Действует
Тип:
ГОСТ ИСО
Название русское:
Стерилизация медицинской продукции. Химические индикаторы. Часть 3. Тест-листы к индикаторам 2-го класса для испытаний на проникание пара
Название английское:
Sterilization of care products. Chemical indicators. Part 3. Class 2 indicators for steam penetration test sheets
Даты и сроки
Дата регистрации:
11-29-11
Дата издания:
08-02-13
Дата введения в действие:
01-01-13
Дата завершения срока действия:
-
Применение и описание
Область и условия применения:
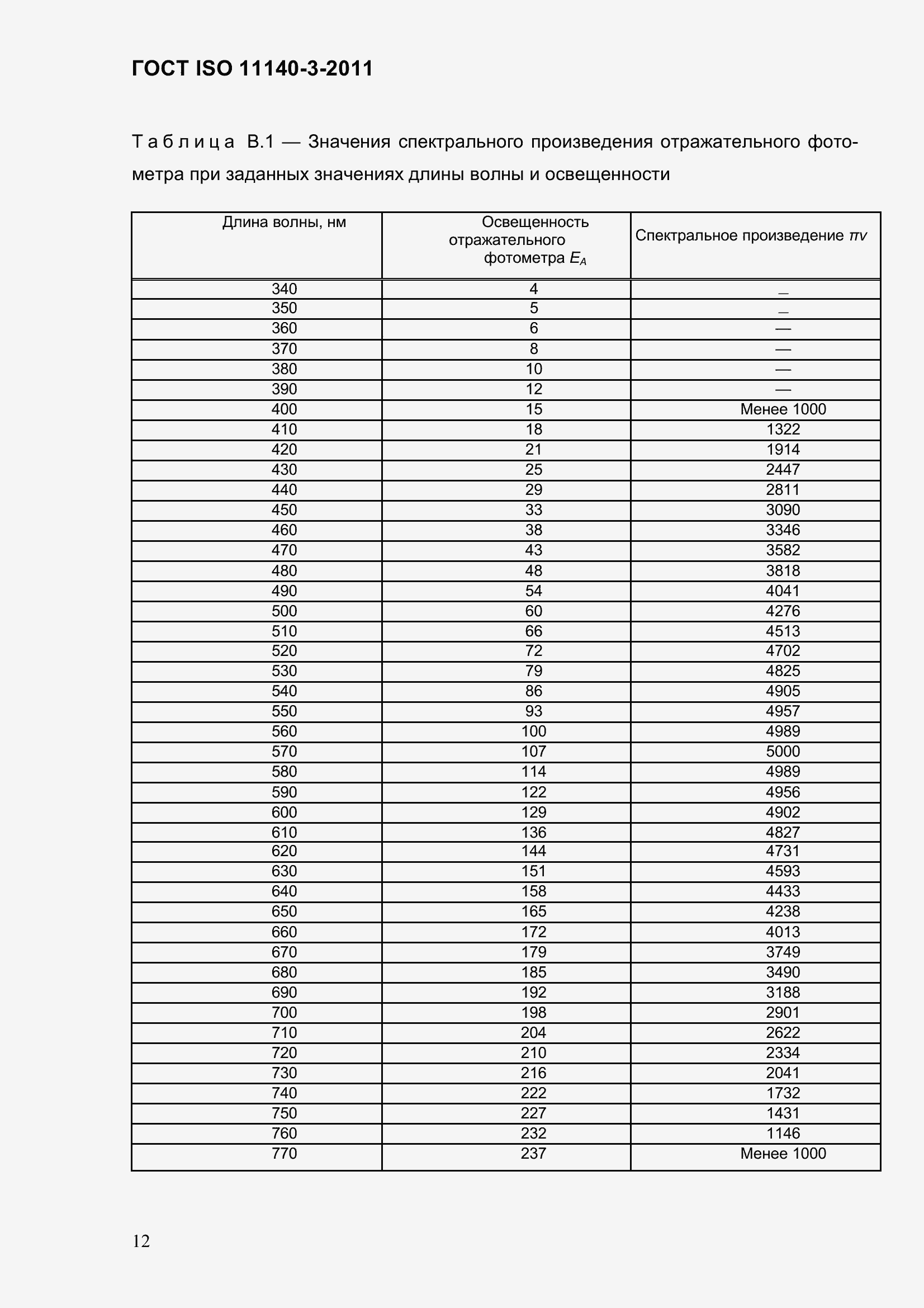
Настоящий стандарт устанавливает технические требования к химическим индикаторам, предназначенным для использования в испытаниях на проникание водяного пара в паровых стерилизаторах для упакованной медицинской продукции (инструментов, пористых материалов и т. д.). Индикатор для этой цели - индикатор 2-го класса по ISO 11140-1. Индикаторы, соответствующие требованиям настоящего стандарта, предназначены для использования в качестве составной части стандартного тест-пакета по ЕN 285. Настоящий стандарт не устанавливает технических требований к стандартному тест-пакету, но устанавливает технические требования к индикаторам
Связи и замены
Заменяющий:
-
Описание стандарта
ГОСТ ISO 11140-3-2011 Стерилизация медицинской продукции. Химические индикаторы. Часть 3. Тест-листы к индикаторам 2-го класса для испытаний на проникание пара
Страницы стандарта

































Приложение №1: Поправка к ГОСТ ISO 11140-3-2011 Обозначение: Поправка к ГОСТ ISO 11140-3-2011 Дата введения в действие: 13.03.2024
