ГОСТ 26432-85 Топлива нефтяные жидкие. Ограничительный перечень и порядок назначения
ГОСТ
Скачать ГОСТ в PDF или DOC бесплатно
Основная информация
Обозначение:
ГОСТ 26432-85
Статус:
Действует
Тип:
ГОСТ
Название русское:
Топлива нефтяные жидкие. Ограничительный перечень и порядок назначения
Название английское:
Petroleum liquid fuels. Limited list and order of application
Даты и сроки
Дата издания:
08-02-10
Дата введения в действие:
01-01-86
Дата завершения срока действия:
-
Применение и описание
Область и условия применения:
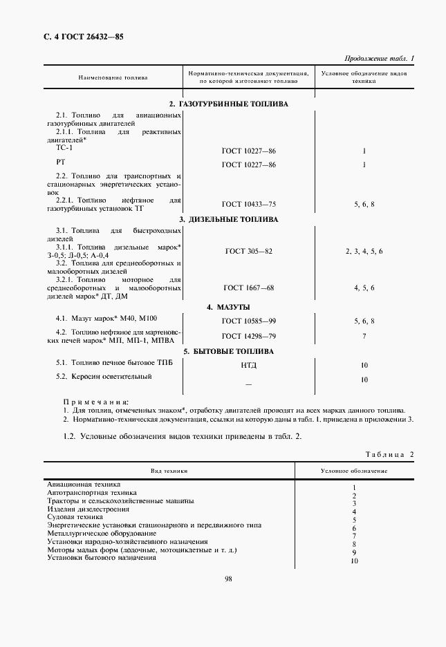
Настоящий стандарт устанавливает ограничительный перечень и порядок назначения жидких нефтяных топлив, допускаемых к применению в технике для народного хозяйства.Стандарт не распространяется на топлива для двигателей военной техники и топлива, предназначенные для экспорта
Связи и замены
Заменяющий:
-
Описание стандарта
ГОСТ 26432-85 Топлива нефтяные жидкие. Ограничительный перечень и порядок назначения
Страницы стандарта






