ГОСТ ISO 10993-18-2011 Изделия медицинские. Оценка биологического действия медицинских изделий. Часть 18. Исследование химических свойств материалов
ГОСТ ИСО
Скачать ГОСТ в PDF или DOC бесплатно
Основная информация
Обозначение:
ГОСТ ISO 10993-18-2011
Статус:
Заменен
Тип:
ГОСТ ИСО
Название русское:
Изделия медицинские. Оценка биологического действия медицинских изделий. Часть 18. Исследование химических свойств материалов
Название английское:
Medical devices. Biological evaluation of medical devices. Part 18. Chemical characterization of materials
Даты и сроки
Дата регистрации:
11-29-11
Дата издания:
07-24-14
Дата введения в действие:
01-01-13
Дата завершения срока действия:
07-01-23
Применение и описание
Область и условия применения:
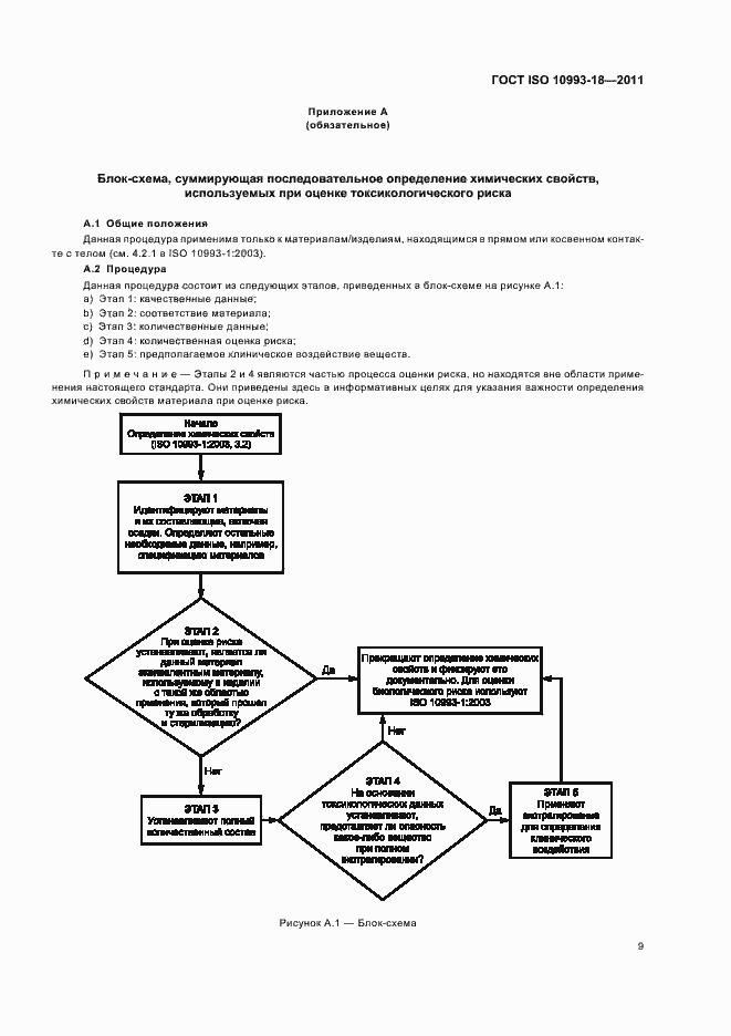
Настоящий стандарт описывает процедуру идентификации материала и идентификации и определения его химических составляющих. Полученные данные о химических свойствах материала могут быть использованы для ряда важных применений, например: - как часть оценки общей биологической безопасности медицинского изделия (ISO 10993-1 и 14971); - измерения уровня экстракции вещества из медицинского изделия для оценки соответствия допустимому пределу, выбранному для данного вещества с точки зрения оценки риска здоровью (ISO 10993-17); - оценки соответствия предлагаемого материала клинически проверенному материалу; - оценки соответствия конечного продукта прототипу и проверки применимости полученных данных для обоснования оценки конечного продукта; - отбора потенциально новых материалов для медицинских изделий, используемых в конкретном клиническом применении. Настоящий стандарт предназначен для поставщиков материалов и изготовителей медицинских изделий при оценке биологической безопасности
Связи и замены
Заменяющий:
ГОСТ ISO 10993-18-2022
Описание стандарта
ГОСТ ISO 10993-18-2011 Изделия медицинские. Оценка биологического действия медицинских изделий. Часть 18. Исследование химических свойств материалов
Страницы стандарта


















