ГОСТ ISO 18153-2011 Изделия медицинские для диагностики in vitro. Измерение величин в биологических пробах. Метрологическая прослеживаемость значений каталитической концентрации ферментов, приписанных калибраторам и контрольным материалам
ГОСТ ИСО
Скачать ГОСТ в PDF или DOC бесплатно
Основная информация
Обозначение:
ГОСТ ISO 18153-2011
Статус:
Действует
Тип:
ГОСТ ИСО
Название русское:
Изделия медицинские для диагностики in vitro. Измерение величин в биологических пробах. Метрологическая прослеживаемость значений каталитической концентрации ферментов, приписанных калибраторам и контрольным материалам
Название английское:
In vitro diagnostic medical devices. Measurement of quantities in biological samples. Metrological traceability of assigned values for catalytic concentration of enzymes in calibrators and control materials
Даты и сроки
Дата регистрации:
11-29-11
Дата издания:
12-17-12
Дата введения в действие:
01-01-13
Применение и описание
Область и условия применения:
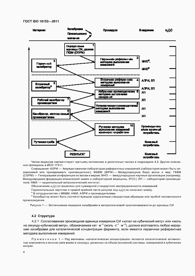
Настоящий стандарт устанавливает правила обеспечения метрологической прослеживаемости значений, приписанных калибраторам и контрольным материалам, предназначенным для установления или подтверждения правильности измерения каталитической концентрации ферментов. Калибраторы и контрольные материалы предоставляются производителями как составная часть медицинских изделий для диагностики in vitro или для применения с ними
Описание стандарта
ГОСТ ISO 18153-2011 Изделия медицинские для диагностики in vitro. Измерение величин в биологических пробах. Метрологическая прослеживаемость значений каталитической концентрации ферментов, приписанных калибраторам и контрольным материалам
Страницы стандарта



















