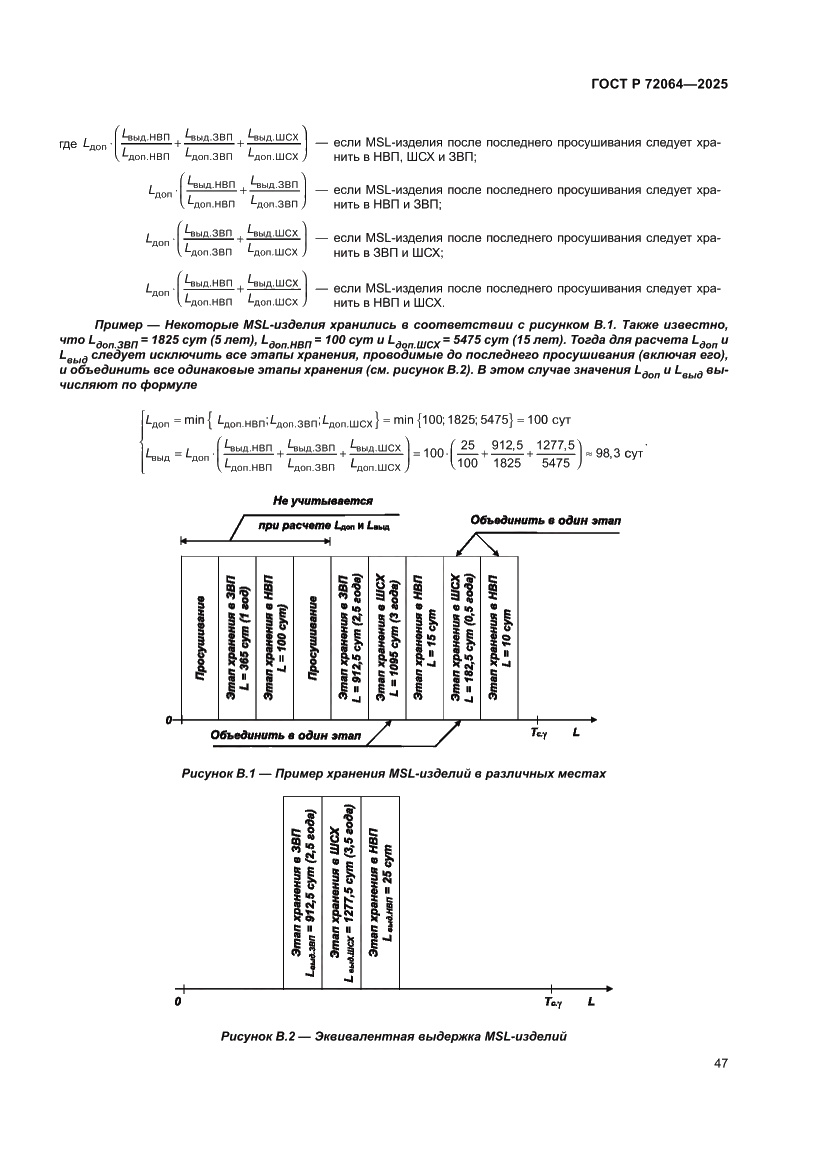
ГОСТ Р 72064-2025 База электронная компонентная для ракетно-космической техники. Требования к хранению
Межгосударственный стандарт
Скачать ГОСТ в PDF или DOC бесплатно
Основная информация
Обозначение:
ГОСТ Р 72064-2025
Статус:
Действует
Название русское:
База электронная компонентная для ракетно-космической техники. Требования к хранению
Название английское:
Electronic components for rocket and space technology. Storage requirements
Даты и сроки
Дата введения в действие:
08-01-25
Описание стандарта
ГОСТ Р 72064-2025 База электронная компонентная для ракетно-космической техники. Требования к хранению
Страницы стандарта





















































