ГОСТы >
17.180.99 Другие стандарты, связанные с оптикой и оптическими измерениями >
ГОСТ Р 72015-2025
ГОСТ Р 72015-2025 Оптика и фотоника. Стекло оптическое бесцветное. Физико-химические характеристики
Межгосударственный стандарт
Скачать ГОСТ в PDF или DOC бесплатно
Основная информация
Обозначение:
ГОСТ Р 72015-2025
Статус:
Действует
Название русское:
Оптика и фотоника. Стекло оптическое бесцветное. Физико-химические характеристики
Название английское:
Optics and photonics. Colorless optical glass. Physical and chemical characteristics
Даты и сроки
Дата введения в действие:
01-01-26
Описание стандарта
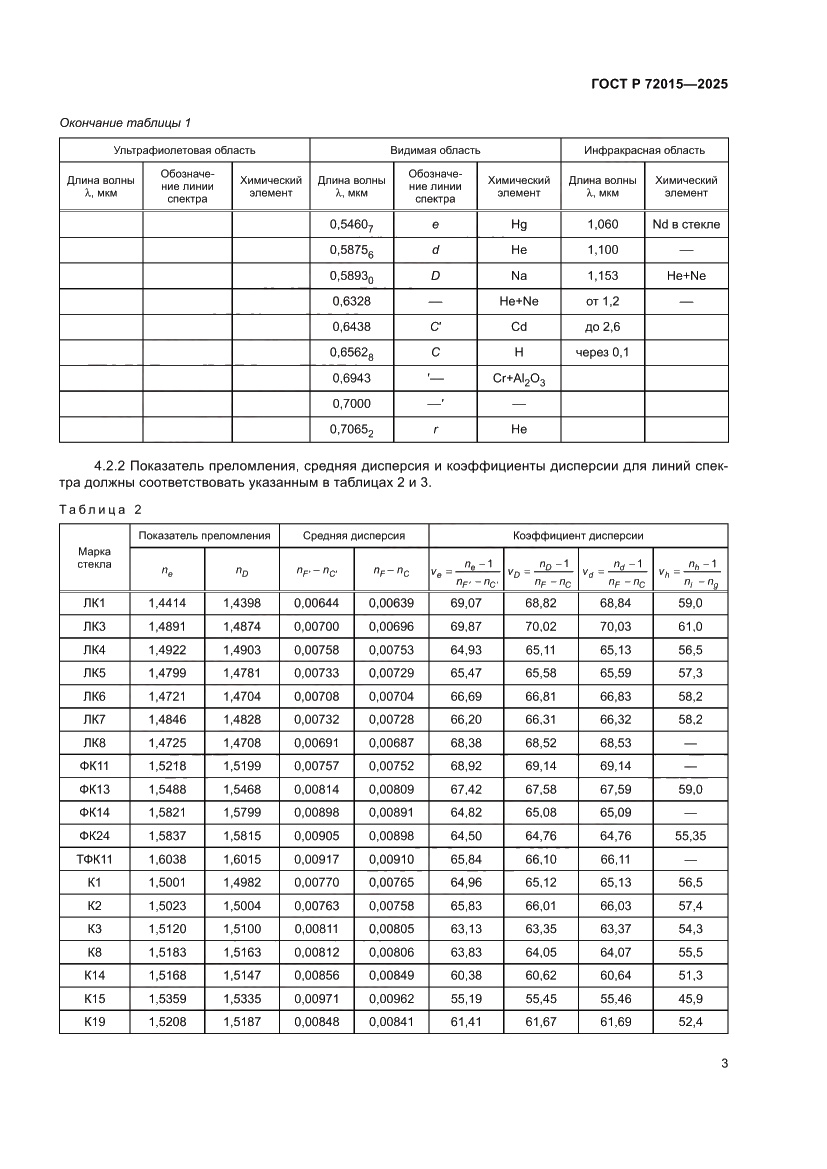
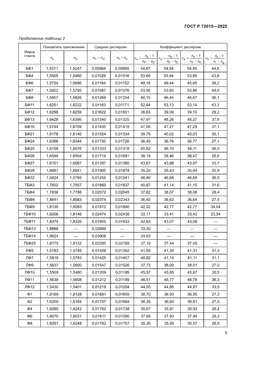
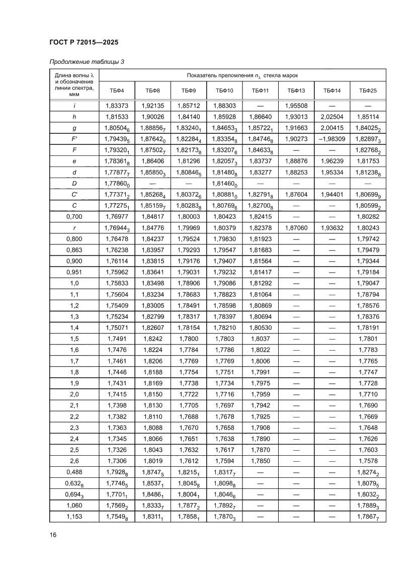
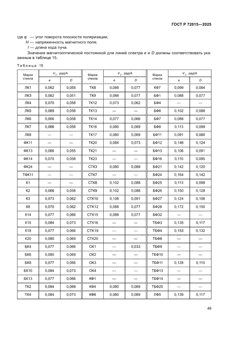
ГОСТ Р 72015-2025 Оптика и фотоника. Стекло оптическое бесцветное. Физико-химические характеристики
Страницы стандарта

























































