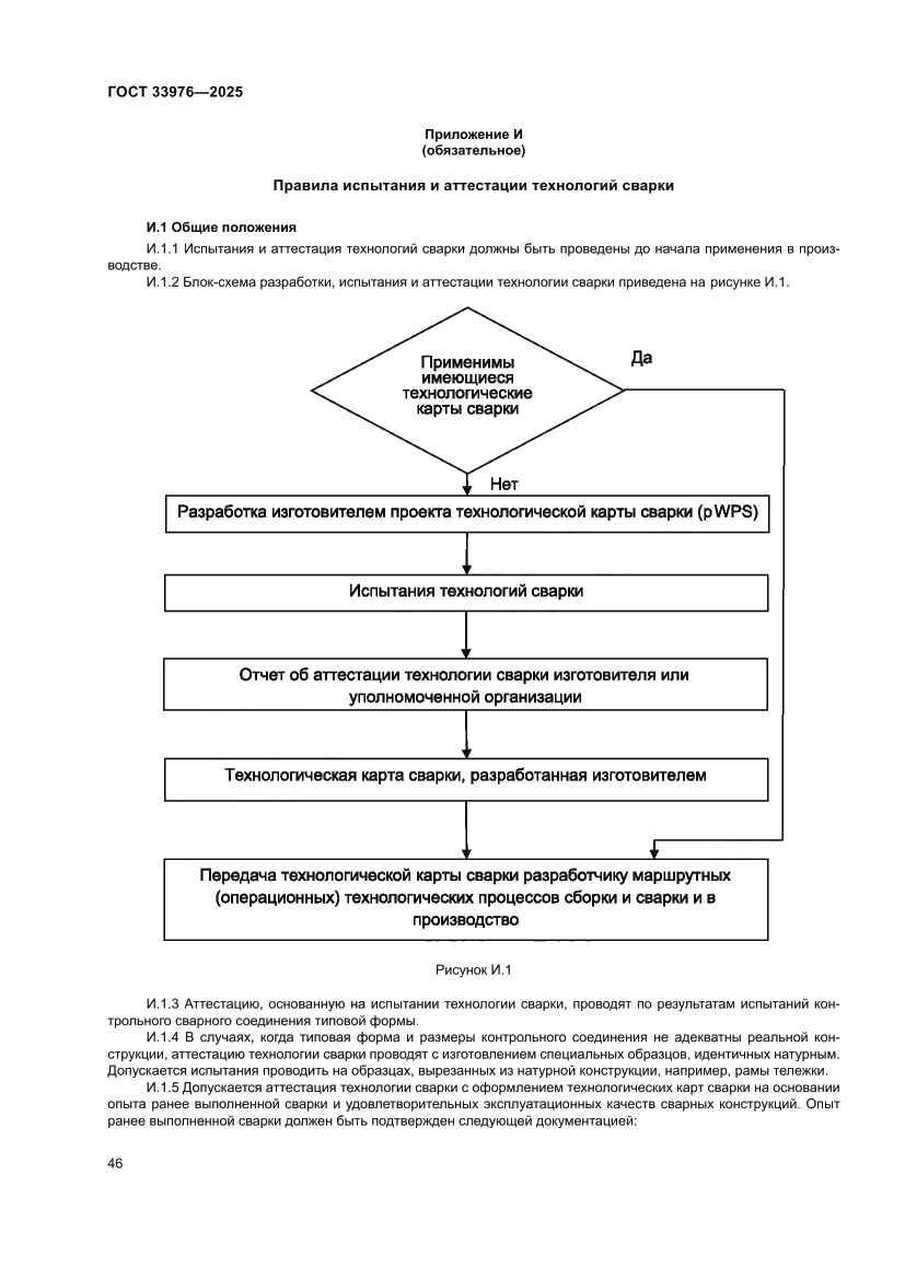
ГОСТ 33976-2025 Соединения сварные в стальных конструкциях железнодорожного подвижного состава. Требования к проектированию, выполнению и контролю качества
Межгосударственный стандарт
Скачать ГОСТ в PDF или DOC бесплатно
Основная информация
Обозначение:
ГОСТ 33976-2025
Статус:
Принят
Название русское:
Соединения сварные в стальных конструкциях железнодорожного подвижного состава. Требования к проектированию, выполнению и контролю качества
Название английское:
Welded joints in steel structures of railway rolling stock. Requirements for design, production and quality inspection
Даты и сроки
Дата введения в действие:
03-01-26
Описание стандарта
ГОСТ 33976-2025 Соединения сварные в стальных конструкциях железнодорожного подвижного состава. Требования к проектированию, выполнению и контролю качества
Страницы стандарта

































































