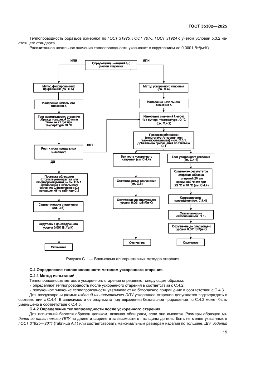
ГОСТ 35302-2025 Теплоизоляционные изделия из пенополиуретана для строительства. Системы жесткого напыляемого пенополиуретана, предназначенные для напыления на месте производства работ. Технические условия
Межгосударственный стандарт
Скачать ГОСТ в PDF или DOC бесплатно
Основная информация
Обозначение:
ГОСТ 35302-2025
Статус:
Принят
Название русское:
Теплоизоляционные изделия из пенополиуретана для строительства. Системы жесткого напыляемого пенополиуретана, предназначенные для напыления на месте производства работ. Технические условия
Название английское:
Thermal insulation products made of polyurethane foam for building. Rigid polyurethane foam systems for spray in-situ of work. Specifications
Даты и сроки
Дата введения в действие:
06-01-26
Описание стандарта
ГОСТ 35302-2025 Теплоизоляционные изделия из пенополиуретана для строительства. Системы жесткого напыляемого пенополиуретана, предназначенные для напыления на месте производства работ. Технические условия
Страницы стандарта









































