ГОСТ Р 71979-2025 Системы автоматического контроля выбросов и сбросов. Системы автоматического контроля выбросов. Предиктивные системы. Общие положения
Межгосударственный стандарт
Скачать ГОСТ в PDF или DOC бесплатно
Основная информация
Обозначение:
ГОСТ Р 71979-2025
Статус:
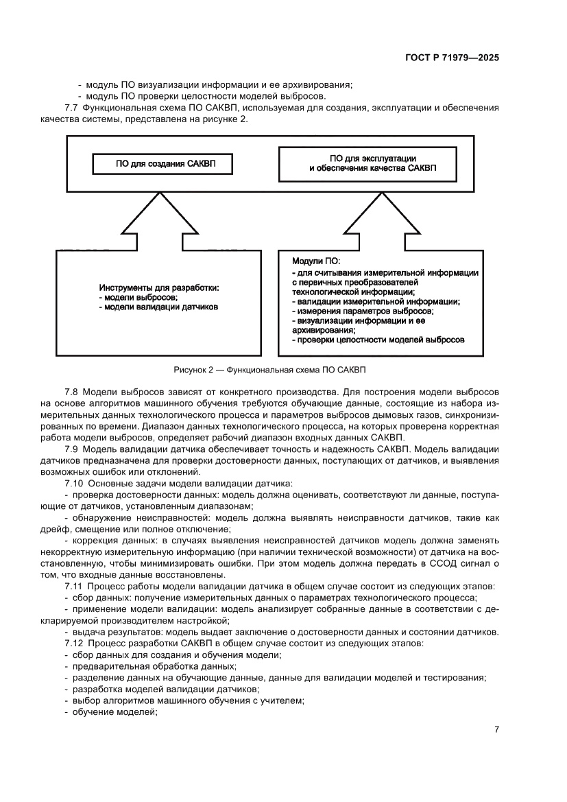
Принят
Название русское:
Системы автоматического контроля выбросов и сбросов. Системы автоматического контроля выбросов. Предиктивные системы. Общие положения
Название английское:
Automatic emission and discharge control systems. Automatic emission control systems. Predictive systems. General provisions
Даты и сроки
Дата введения в действие:
03-01-26
Описание стандарта
ГОСТ Р 71979-2025 Системы автоматического контроля выбросов и сбросов. Системы автоматического контроля выбросов. Предиктивные системы. Общие положения
Страницы стандарта











