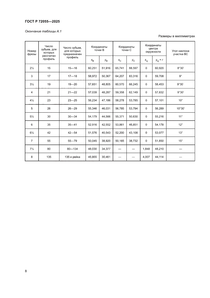
ГОСТ Р 72055-2025 Фрезы дисковые зуборезные модульные. Технические условия
Межгосударственный стандарт
Скачать ГОСТ в PDF или DOC бесплатно
Основная информация
Обозначение:
ГОСТ Р 72055-2025
Статус:
Принят
Название русское:
Фрезы дисковые зуборезные модульные. Технические условия
Название английское:
Modular disc tooth cutters. Specifications
Даты и сроки
Дата введения в действие:
07-01-26
Описание стандарта
ГОСТ Р 72055-2025 Фрезы дисковые зуборезные модульные. Технические условия
Страницы стандарта















