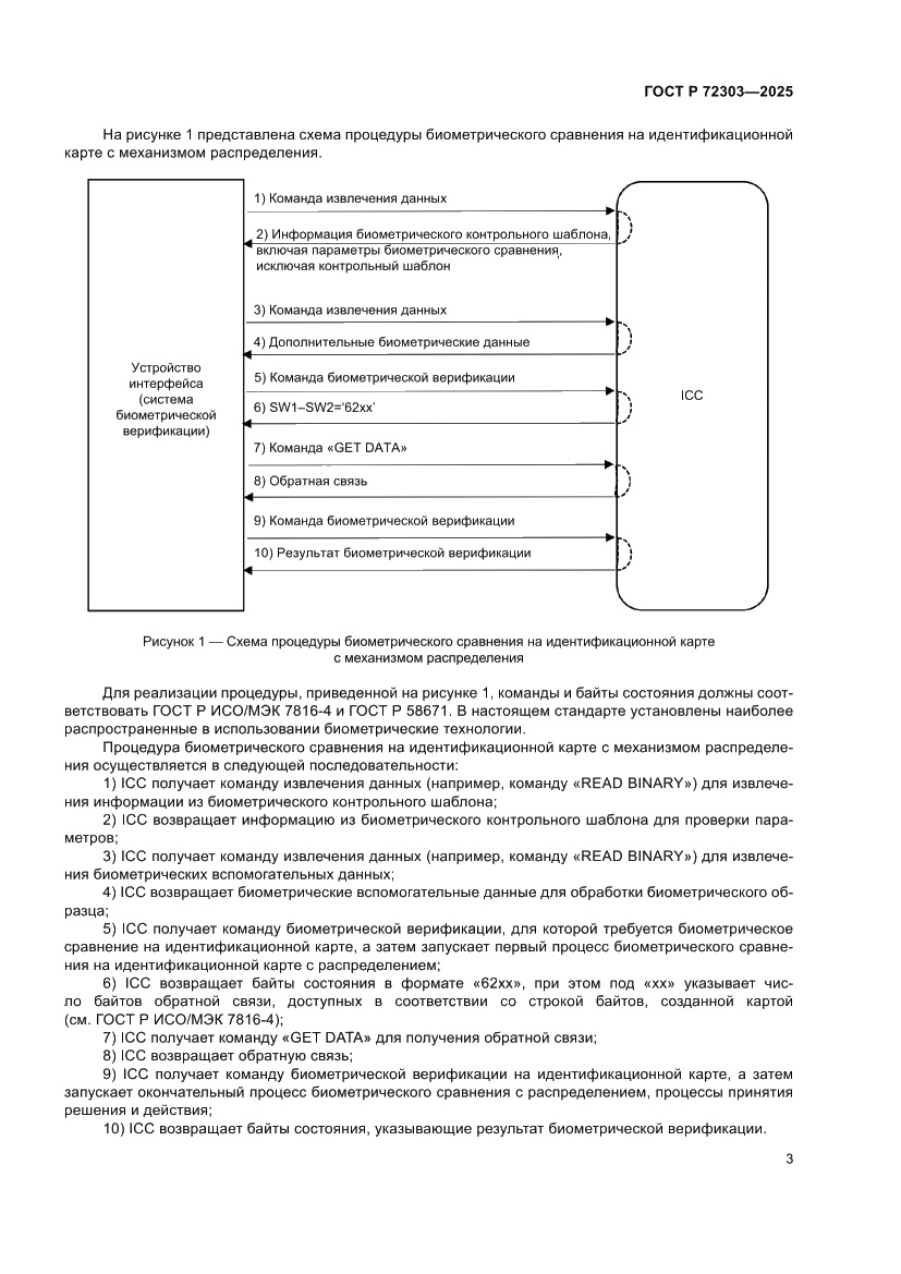
ГОСТ Р 72303-2025 Информационные технологии. Биометрия. Биометрическое сравнение на идентификационной карте. Механизм распределения
Межгосударственный стандарт
Скачать ГОСТ в PDF или DOC бесплатно
Основная информация
Обозначение:
ГОСТ Р 72303-2025
Статус:
Действует
Название русское:
Информационные технологии. Биометрия. Биометрическое сравнение на идентификационной карте. Механизм распределения
Название английское:
Information technology. Biometrics. On-card biometric comparison. Work-sharing mechanism
Даты и сроки
Дата введения в действие:
01-01-26
Описание стандарта
ГОСТ Р 72303-2025 Информационные технологии. Биометрия. Биометрическое сравнение на идентификационной карте. Механизм распределения
Страницы стандарта







