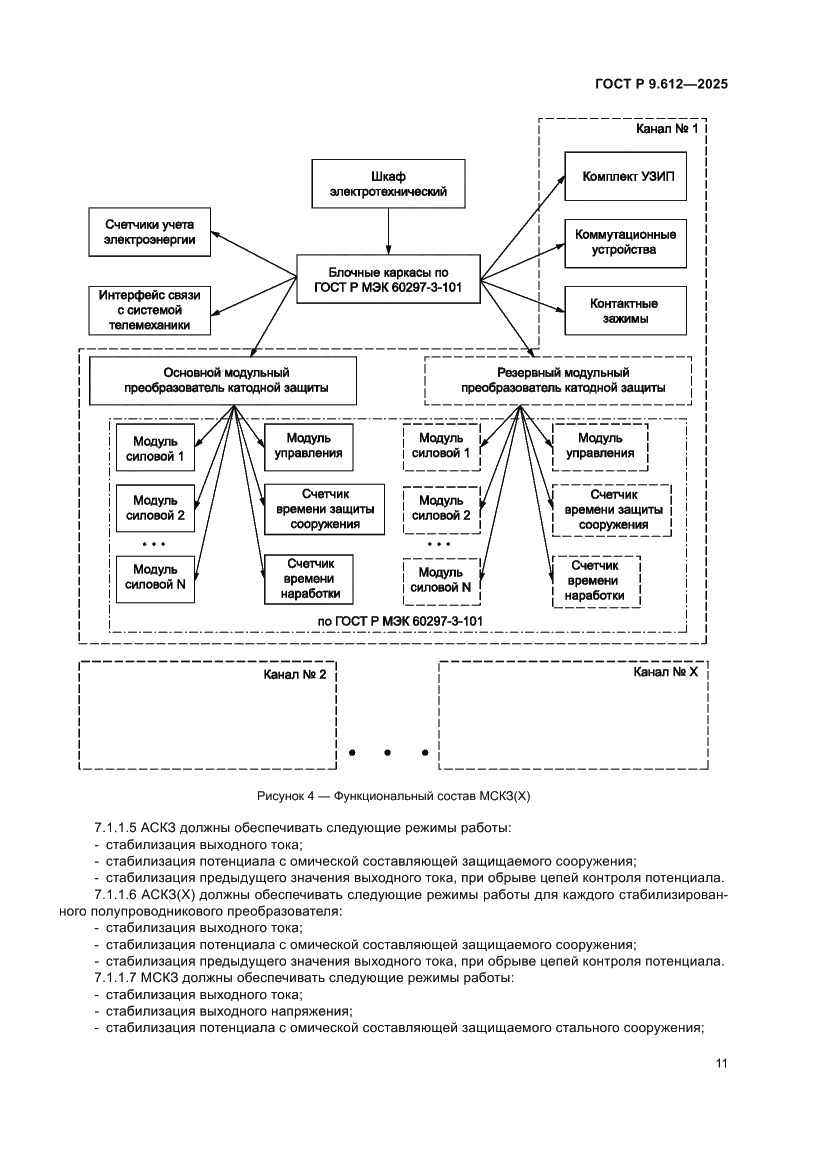
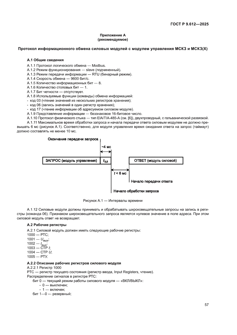
ГОСТ Р 9.612-2025 Единая система защиты от коррозии и старения. Электрохимическая защита. Станции катодной защиты. Общие технические условия
Межгосударственный стандарт
Скачать ГОСТ в PDF или DOC бесплатно
Основная информация
Обозначение:
ГОСТ Р 9.612-2025
Статус:
Принят
Название русское:
Единая система защиты от коррозии и старения. Электрохимическая защита. Станции катодной защиты. Общие технические условия
Название английское:
Unified system of corrosion and ageing protection. Electrochemical protection. Cathodic protection stations. General specifications
Даты и сроки
Дата введения в действие:
06-01-26
Описание стандарта
ГОСТ Р 9.612-2025 Единая система защиты от коррозии и старения. Электрохимическая защита. Станции катодной защиты. Общие технические условия
Страницы стандарта

















































































