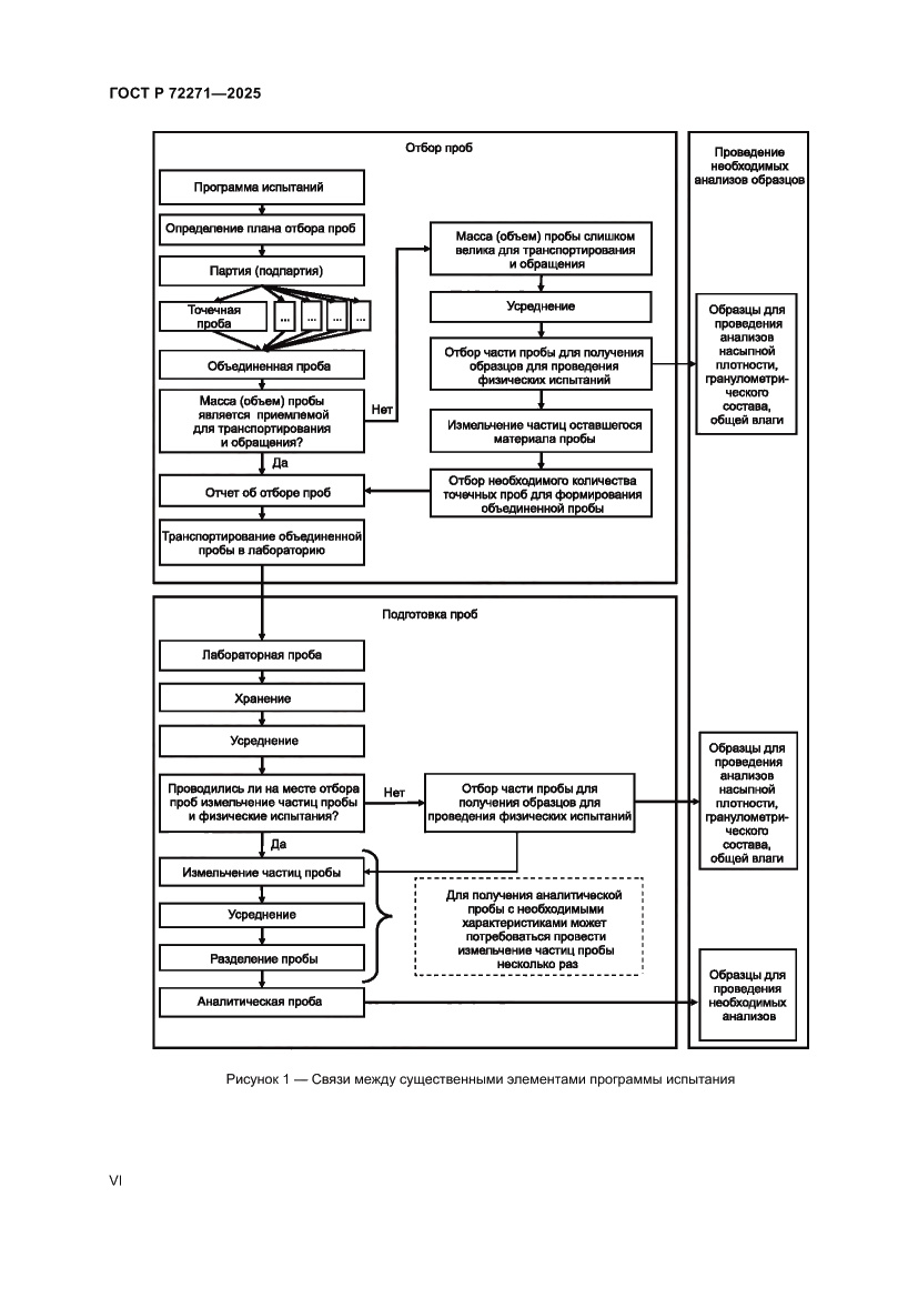
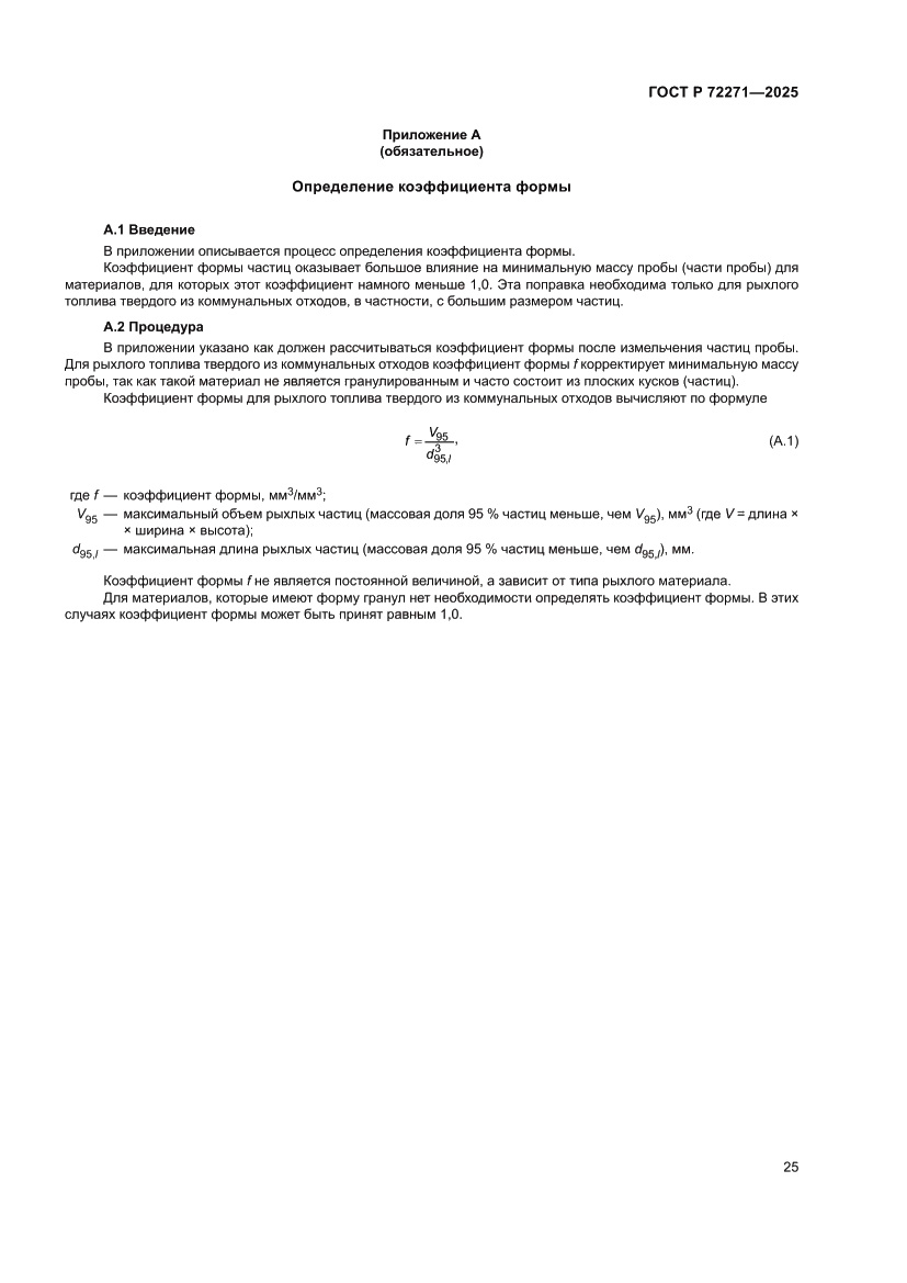
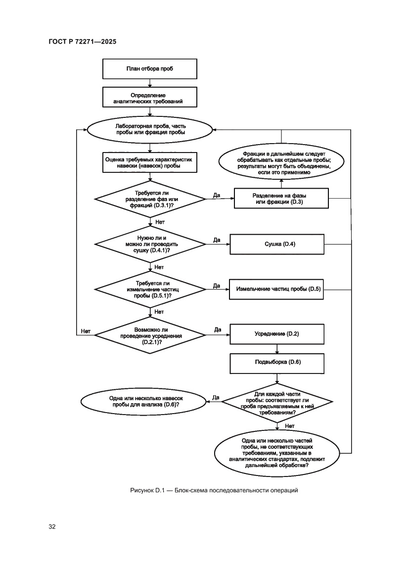
ГОСТ Р 72271-2025 Ресурсосбережение. Обращение с отходами. Топливо твердое из коммунальных отходов. Методы подготовки лабораторной пробы
Межгосударственный стандарт
Скачать ГОСТ в PDF или DOC бесплатно
Основная информация
Обозначение:
ГОСТ Р 72271-2025
Статус:
Принят
Название русское:
Ресурсосбережение. Обращение с отходами. Топливо твердое из коммунальных отходов. Методы подготовки лабораторной пробы
Название английское:
Resources saving. Waste treatment. Solid recovered fuels. Sample preparation
Даты и сроки
Дата введения в действие:
02-01-26
Описание стандарта
ГОСТ Р 72271-2025 Ресурсосбережение. Обращение с отходами. Топливо твердое из коммунальных отходов. Методы подготовки лабораторной пробы
Страницы стандарта





























































