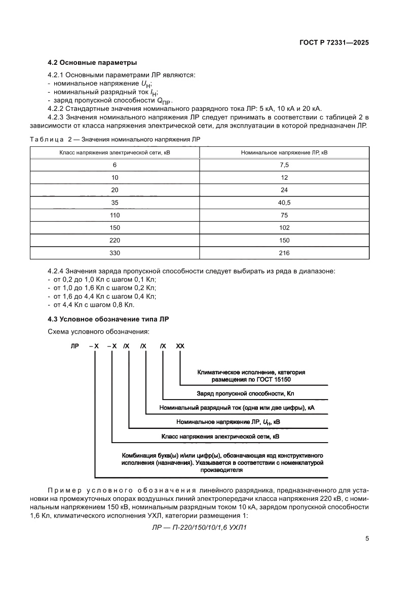
ГОСТ Р 72331-2025 Разрядники металлооксидные с внешним искровым промежутком для воздушных линий электропередачи переменного тока напряжением от 6 до 330 кВ. Общие технические условия
Межгосударственный стандарт
Скачать ГОСТ в PDF или DOC бесплатно
Основная информация
Обозначение:
ГОСТ Р 72331-2025
Статус:
Действует
Название русское:
Разрядники металлооксидные с внешним искровым промежутком для воздушных линий электропередачи переменного тока напряжением от 6 до 330 кВ. Общие технические условия
Название английское:
Metal-oxide surge arresters with external series gap for a.c. overhead transmission linesofvoltage from 6 to 330 kV. General specifications
Даты и сроки
Дата введения в действие:
12-01-25
Описание стандарта
ГОСТ Р 72331-2025 Разрядники металлооксидные с внешним искровым промежутком для воздушных линий электропередачи переменного тока напряжением от 6 до 330 кВ. Общие технические условия
Страницы стандарта







































