ГОСТ Р ИСО 10993-17-2009 Изделия медицинские. Оценка биологического действия медицинских изделий. Часть 17. Установление пороговых значений для вымываемых веществ
ГОСТ Р ИСО
Скачать ГОСТ в PDF или DOC бесплатно
Основная информация
Обозначение:
ГОСТ Р ИСО 10993-17-2009
Статус:
Отменен
Тип:
ГОСТ Р ИСО
Название русское:
Изделия медицинские. Оценка биологического действия медицинских изделий. Часть 17. Установление пороговых значений для вымываемых веществ
Название английское:
Medical devices. Biological evaluation of medical devices. Part 17. Establishment of allowable limits for leachable substance
Даты и сроки
Дата издания:
02-04-11
Дата введения в действие:
11-01-10
Дата завершения срока действия:
01-01-13
Применение и описание
Область и условия применения:
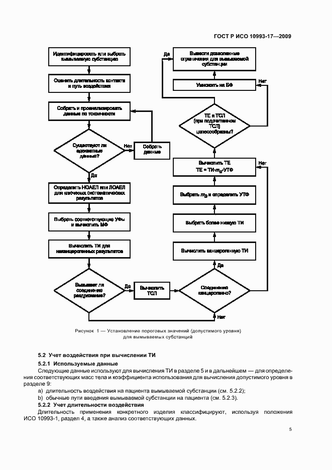
Настоящий стандарт устанавливает метод определения пороговых значений (допустимых уровней) для веществ, вымываемых из медицинских изделий. Он предназначен для использования при разработке стандартов и расчете соответствующих ограничений при отсутствии стандартов. Он устанавливает систематический процесс, путем которого выявленные риски при использовании токсикологически опасных субстанций в медицинских изделиях могут быть выражены количественно. Настоящий стандарт не применим к изделиям, не имеющим контакта с пациентом (например, изделия для in vitro диагностики). Воздействие конкретной химической субстанции может происходить из других источников, не имеющих отношения к медицинскому изделию, таких как пища, вода или воздух. Настоящий стандарт не описывает потенциал воздействия из таких источников
Связи и замены
Заменяющий:
-
Изменения и переиздания
Список изменений:
№0 от (рег. ) «Текстовое изменение; Изменено заглавие»
Описание стандарта
ГОСТ Р ИСО 10993-17-2009 Изделия медицинские. Оценка биологического действия медицинских изделий. Часть 17. Установление пороговых значений для вымываемых веществ
Страницы стандарта



























