ГОСТ Р ИСО 18209-1-2025 Биотехнология. Биобанкинг паразитов. Часть 1. Гельминты
Межгосударственный стандарт
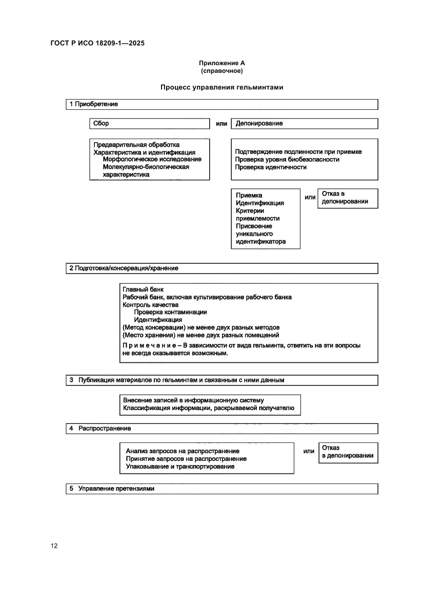
Скачать ГОСТ в PDF или DOC бесплатно
Основная информация
Обозначение:
ГОСТ Р ИСО 18209-1-2025
Статус:
Принят
Название русское:
Биотехнология. Биобанкинг паразитов. Часть 1. Гельминты
Название английское:
Biotechnology. Biobanking of parasites. Part 1. Helminths
Даты и сроки
Дата введения в действие:
03-01-26
Описание стандарта
ГОСТ Р ИСО 18209-1-2025 Биотехнология. Биобанкинг паразитов. Часть 1. Гельминты
Страницы стандарта























