ГОСТ Р ИСО 10993-18-2009 Изделия медицинские. Оценка биологического действия медицинских изделий. Часть 18. Исследование химических свойств материалов
ГОСТ Р ИСО
Скачать ГОСТ в PDF или DOC бесплатно
Основная информация
Обозначение:
ГОСТ Р ИСО 10993-18-2009
Статус:
Отменен
Тип:
ГОСТ Р ИСО
Название русское:
Изделия медицинские. Оценка биологического действия медицинских изделий. Часть 18. Исследование химических свойств материалов
Название английское:
Medical devices. Biological evaluation of medical devices. Part 18. Chemical characterization of materials
Даты и сроки
Дата издания:
06-26-10
Дата введения в действие:
09-01-10
Дата завершения срока действия:
01-01-13
Применение и описание
Область и условия применения:
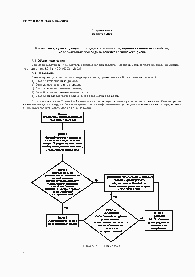
Настоящий стандарт описывает процедуру идентификации материала и идентификации и определения его химических составляющих. Полученные данные о химических свойствах материала могут быть использованы для ряда важных применений, например: - как часть оценки общей биологической безопасности медицинского изделия (ИСО 10993-1 и 14971); - измерения уровня экстракции вещества из медицинского изделия для оценки соответствия допустимому пределу, выбранному для данного вещества с точки зрения оценки риска здоровью (ИСО 10993-17); - оценки соответствия предлагаемого материала клинически проверенному материалу; - оценки соответствия конечного продукта прототипу и проверки применимости полученных данных для обоснования оценки конечного продукта; - отбора потенциально новых материалов для медицинских изделий, используемых в конкретном клиническом применении. Настоящий стандарт не рассматривает идентификацию или количественную оценку продуктов деградации, которые рассмотрены в ИСО 10993-9, ИСО10993-13, ИСО 10993-14 и ИСО 10993-15. Настоящая серия стандартов ИСО 10993 применяется, если материал или изделие прямо или косвенно входит в контакт с телом пациента (см. 4.2.1 в ИСО10993-1:2003). Настоящий стандарт предназначен для поставщиков материалов и изготовителей медицинских изделий при оценке биологической безопасности
Связи и замены
Заменяющий:
-
Изменения и переиздания
Список изменений:
№0 от (рег. ) «Текстовое изменение; Изменено заглавие»
Описание стандарта
ГОСТ Р ИСО 10993-18-2009 Изделия медицинские. Оценка биологического действия медицинских изделий. Часть 18. Исследование химических свойств материалов
Страницы стандарта























