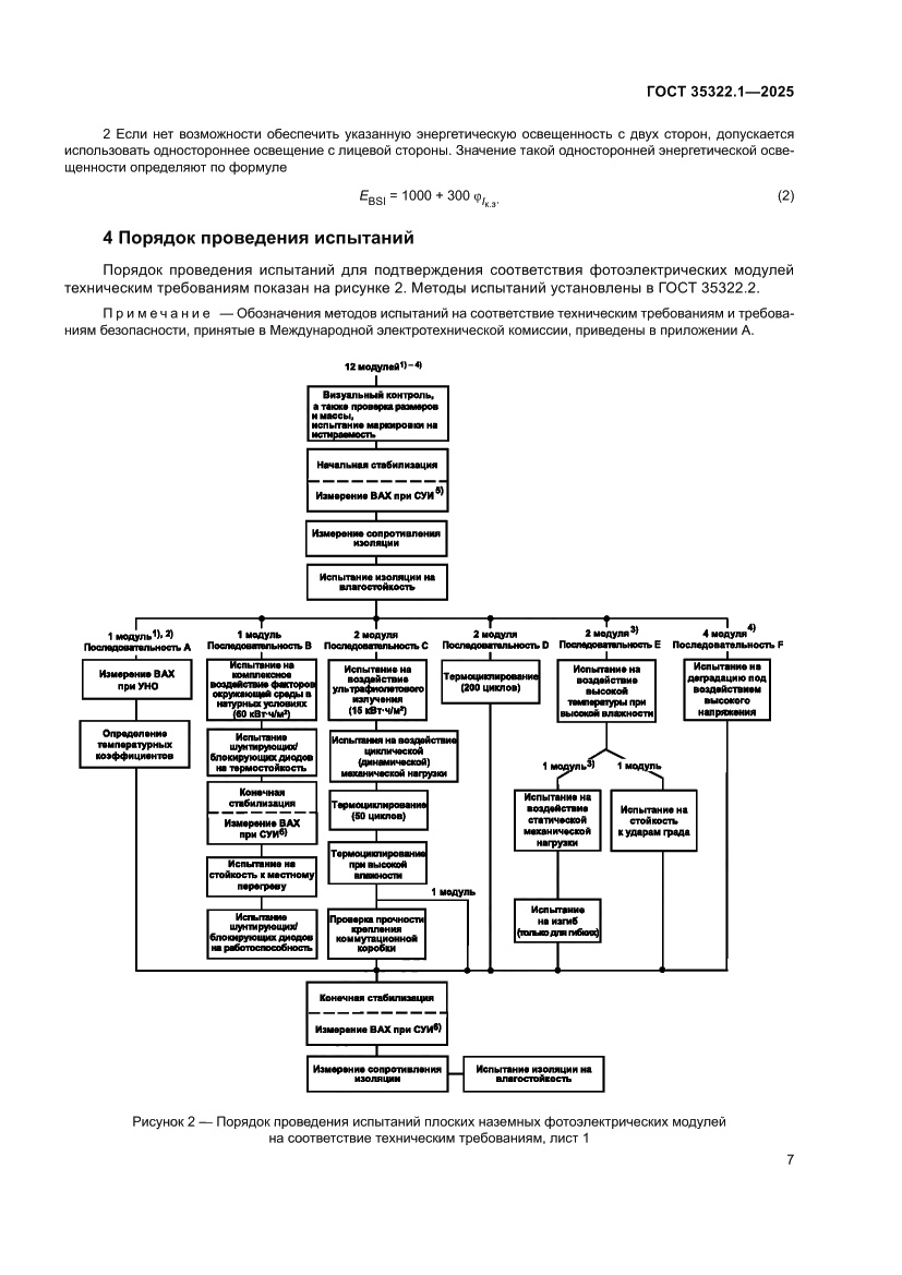
ГОСТ 35322.1-2025 Модули фотоэлектрические. Оценка соответствия техническим требованиям. Часть 1. Требования к испытаниям
Межгосударственный стандарт
Скачать ГОСТ в PDF или DOC бесплатно
Основная информация
Обозначение:
ГОСТ 35322.1-2025
Статус:
Принят
Название русское:
Модули фотоэлектрические. Оценка соответствия техническим требованиям. Часть 1. Требования к испытаниям
Название английское:
Photovoltaic modules. Evaluation of compliance with technical requirements. Part 1. Test requirements
Даты и сроки
Дата введения в действие:
02-10-26
Описание стандарта
ГОСТ 35322.1-2025 Модули фотоэлектрические. Оценка соответствия техническим требованиям. Часть 1. Требования к испытаниям
Страницы стандарта







































