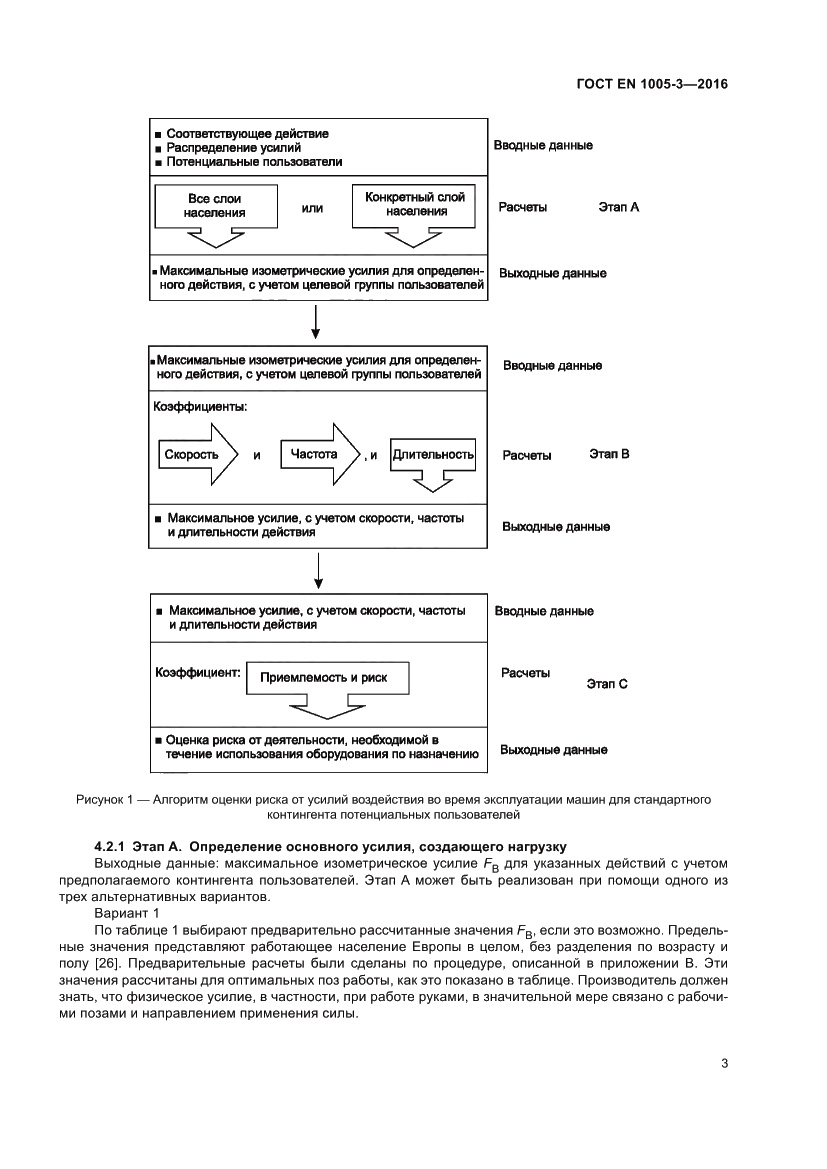
ГОСТ EN 1005-3-2016 Безопасность машин. Физические возможности человека. Часть 3. Рекомендуемые пределы усилий при работе на машинах
Межгосударственный стандарт
Скачать ГОСТ в PDF или DOC бесплатно
Основная информация
Обозначение:
ГОСТ EN 1005-3-2016
Статус:
Принят
Название русское:
Безопасность машин. Физические возможности человека. Часть 3. Рекомендуемые пределы усилий при работе на машинах
Название английское:
Safety of machinery. Human physical performance. Part 3. Recommended force limits for machinery operation
Даты и сроки
Дата введения в действие:
12-01-26
Описание стандарта
ГОСТ EN 1005-3-2016 Безопасность машин. Физические возможности человека. Часть 3. Рекомендуемые пределы усилий при работе на машинах
Страницы стандарта



























