ГОСТы >
29.200 Выпрямители. Преобразователи. Стабилизированные источники питания >
ГОСТ IEC 61800-3-2022
ГОСТ IEC 61800-3-2022 Системы силовых электрических приводов с регулируемой скоростью. Часть 3. Требования к электромагнитной совместимости и специальные методы испытаний
Межгосударственный стандарт
Скачать ГОСТ в PDF или DOC бесплатно
Основная информация
Обозначение:
ГОСТ IEC 61800-3-2022
Статус:
Принят
Название русское:
Системы силовых электрических приводов с регулируемой скоростью. Часть 3. Требования к электромагнитной совместимости и специальные методы испытаний
Название английское:
Adjustable speed electrical power drive systems. Part 3. EMC requirements and specific test methods
Даты и сроки
Дата введения в действие:
01-01-27
Описание стандарта
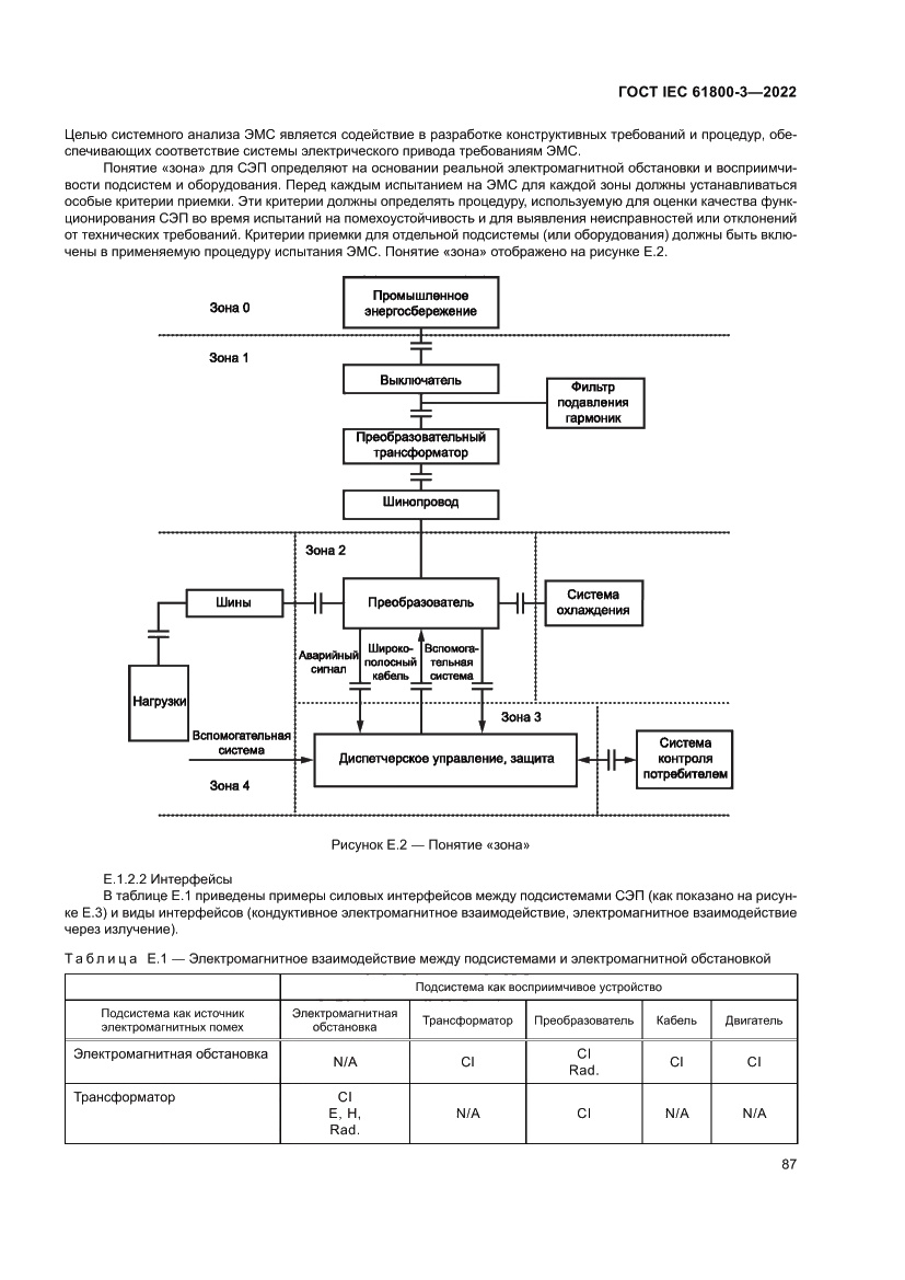
ГОСТ IEC 61800-3-2022 Системы силовых электрических приводов с регулируемой скоростью. Часть 3. Требования к электромагнитной совместимости и специальные методы испытаний
Страницы стандарта









































































































