ГОСТ Р 60.0.7.6-2025 Роботы и робототехнические устройства. Общая информационная модель. Описание общей информационной модели
Межгосударственный стандарт
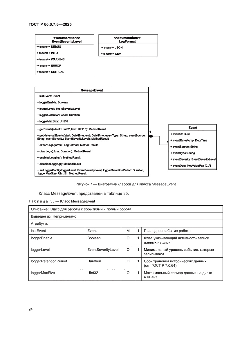
Скачать ГОСТ в PDF или DOC бесплатно
Основная информация
Обозначение:
ГОСТ Р 60.0.7.6-2025
Статус:
Действует
Название русское:
Роботы и робототехнические устройства. Общая информационная модель. Описание общей информационной модели
Название английское:
Robots and robotic devices. Integration of robotic systems. Description of the general information model
Даты и сроки
Дата введения в действие:
01-01-26
Описание стандарта
ГОСТ Р 60.0.7.6-2025 Роботы и робототехнические устройства. Общая информационная модель. Описание общей информационной модели
Страницы стандарта



































