ГОСТ Р 72182.3-2025 Соединения без пайки. Часть 3. Соединения при помощи прорезания изоляции с доступом. Общие требования и методы испытаний
Межгосударственный стандарт
Скачать ГОСТ в PDF или DOC бесплатно
Основная информация
Обозначение:
ГОСТ Р 72182.3-2025
Статус:
Принят
Название русское:
Соединения без пайки. Часть 3. Соединения при помощи прорезания изоляции с доступом. Общие требования и методы испытаний
Название английское:
Solderless connections. Part 3. Accessible insulation displacement connections. General requirements and test methods
Даты и сроки
Дата введения в действие:
06-01-26
Описание стандарта
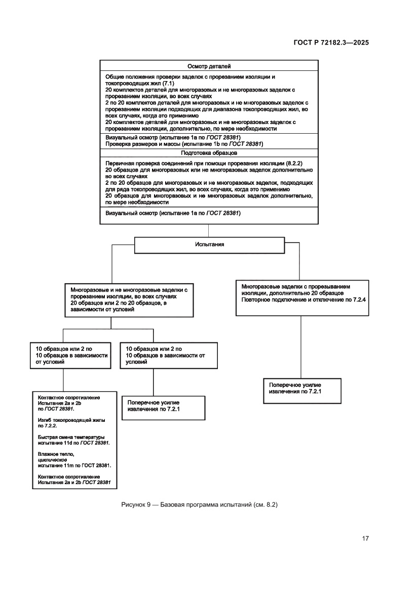
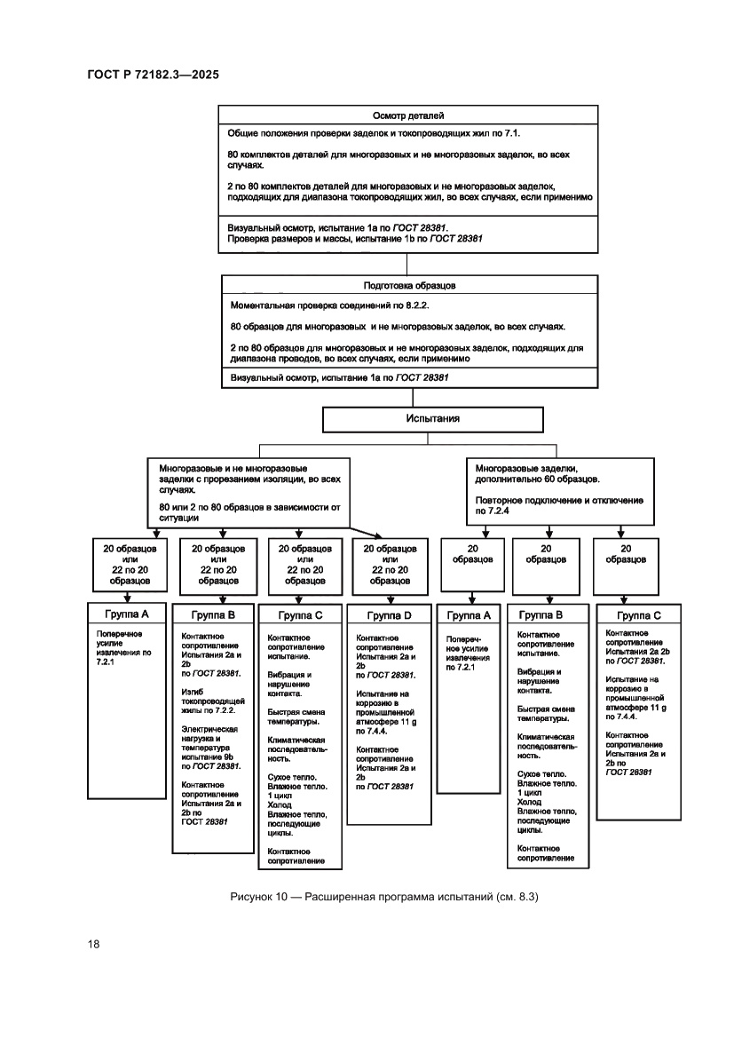
ГОСТ Р 72182.3-2025 Соединения без пайки. Часть 3. Соединения при помощи прорезания изоляции с доступом. Общие требования и методы испытаний
Страницы стандарта































