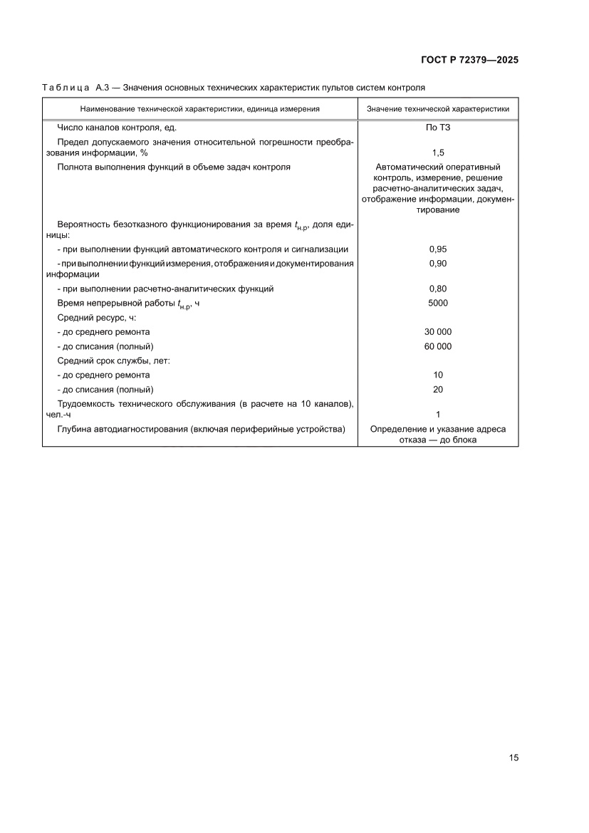
ГОСТ Р 72379-2025 Суда и объекты морской техники. Средства судовые технические химического контроля. Общие технические требования
Межгосударственный стандарт
Скачать ГОСТ в PDF или DOC бесплатно
Основная информация
Обозначение:
ГОСТ Р 72379-2025
Статус:
Принят
Название русское:
Суда и объекты морской техники. Средства судовые технические химического контроля. Общие технические требования
Название английское:
Ships and marine equipment. Ship technical means of chemical control. General technical requirements
Даты и сроки
Дата введения в действие:
04-01-26
Описание стандарта
ГОСТ Р 72379-2025 Суда и объекты морской техники. Средства судовые технические химического контроля. Общие технические требования
Страницы стандарта



















