ГОСТ ISO 10993-1-2021 Изделия медицинские. Оценка биологического действия медицинских изделий. Часть 1. Оценка и исследования в процессе менеджмента риска
ГОСТ ИСО
Скачать ГОСТ в PDF или DOC бесплатно
Основная информация
Обозначение:
ГОСТ ISO 10993-1-2021
Статус:
Действует
Тип:
ГОСТ ИСО
Название русское:
Изделия медицинские. Оценка биологического действия медицинских изделий. Часть 1. Оценка и исследования в процессе менеджмента риска
Название английское:
Medical devices. Biological evaluation of medical devices. Part 1. Evaluation and testing within a risk management process
Даты и сроки
Дата регистрации:
10-22-21
Дата издания:
12-01-21
Дата введения в действие:
03-01-22
Применение и описание
Область и условия применения:
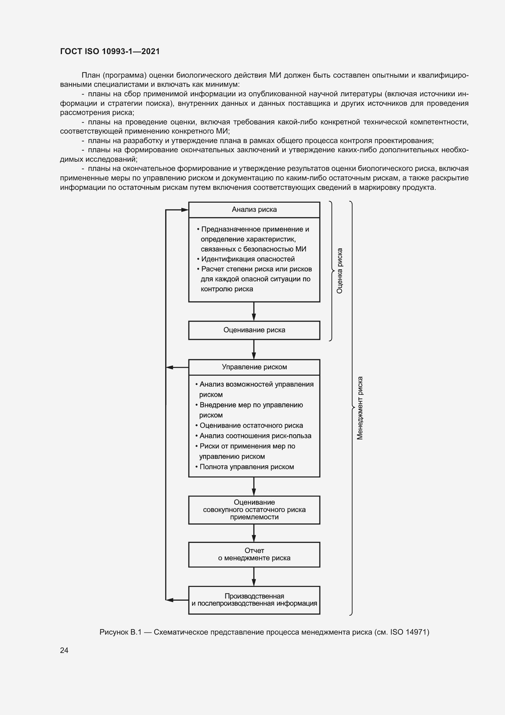
Настоящий стандарт распространяется на медицинские изделия (МИ) и устанавливает: - основные положения оценки биологического действия МИ как части процесса менеджмента риска; - классификацию МИ на основе характера и продолжительности контакта с организмом человека; - требования к анализу информации из различных источников; - определение разрывов/пробелов в существующем наборе данных на основе анализа риска (GAP-анализ); - определение дополнительных наборов данных, необходимых для анализа биологической безопасности МИ; - общие требования к исследованиям МИ. Настоящий стандарт распространяется на материалы и МИ прямого или опосредованного контакта: - с организмом пациента при клиническом применении; - организмом пользователя, если МИ предназначено для защиты (например, хирургические перчатки, маски и другие). Настоящий стандарт распространяется на все типы МИ, включая активные, неактивные, имплантируемые и не имплантируемые МИ. Настоящий стандарт содержит руководство по оценке биологической опасности в результате: - рисков, таких как изменения МИ с течением времени, как часть общей оценки биологической безопасности; - поломки МИ или его компонента, что приводит к воздействию на организм новых по своим свойствам материалов. В других стандартах серии ISO 10993 установлены требования к оценке биологического действия МИ при проведении конкретных исследований. В стандартах на конкретные МИ или продукты установлены методы испытаний. Настоящий стандарт не распространяется на опасности, связанные с бактериями, плесенью, дрожжами, вирусами, агентами трансмиссивной губчатой энцефалопатии (TSE) и другими патогенами
Связи и замены
Взамен:
ГОСТ ISO 10993-1-2011
Описание стандарта
ГОСТ ISO 10993-1-2021 Изделия медицинские. Оценка биологического действия медицинских изделий. Часть 1. Оценка и исследования в процессе менеджмента риска
Страницы стандарта











































