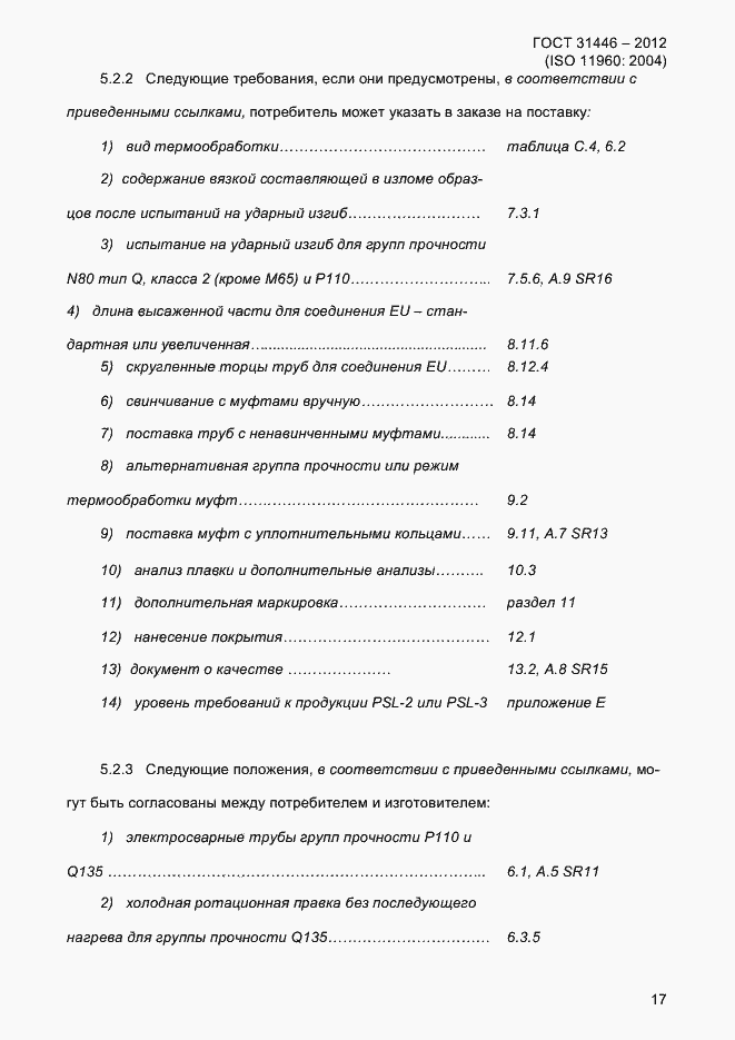
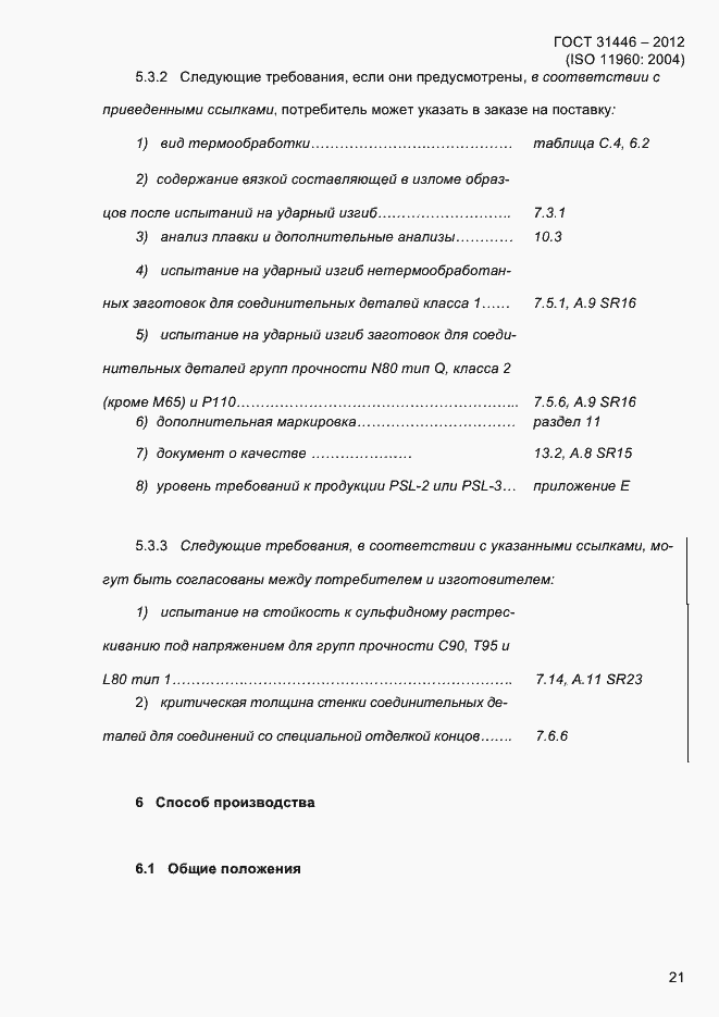
ГОСТ 31446-2012 Трубы стальные, применяемые в качестве обсадных или насосно-компрессорных труб для скважин в нефтяной и газовой промышленности. Общие технические условия
ГОСТ
Скачать ГОСТ в PDF или DOC бесплатно
Основная информация
Обозначение:
ГОСТ 31446-2012
Статус:
Заменен
Тип:
ГОСТ
Название русское:
Трубы стальные, применяемые в качестве обсадных или насосно-компрессорных труб для скважин в нефтяной и газовой промышленности. Общие технические условия
Название английское:
Steel pipes for use as casing or tubing for wells in petroleum and natural gas industries. General specifications
Даты и сроки
Дата регистрации:
03-15-12
Дата введения в действие:
06-30-18
Дата завершения срока действия:
07-01-18
Связи и замены
Заменяющий:
ГОСТ 31446-2017
Изменения и переиздания
Список изменений:
№0 от (рег. ) «Утратил силу в РФ» №0 от (рег. ) «Утратил силу в РФ»
Описание стандарта
ГОСТ 31446-2012 Трубы стальные, применяемые в качестве обсадных или насосно-компрессорных труб для скважин в нефтяной и газовой промышленности. Общие технические условия
Страницы стандарта




































































































































































































































































































































































