ГОСТ 34284-2017 Продукты пищевые, корма, продовольственное сырье, объекты биологические животного происхождения. Метод обнаружения анаболических стимуляторов роста с помощью иммуноферментного анализа с хемилюминесцентной детекцией с использованием технологии биочипов
ГОСТ
Скачать ГОСТ в PDF или DOC бесплатно
Основная информация
Обозначение:
ГОСТ 34284-2017
Статус:
Действует
Тип:
ГОСТ
Название русское:
Продукты пищевые, корма, продовольственное сырье, объекты биологические животного происхождения. Метод обнаружения анаболических стимуляторов роста с помощью иммуноферментного анализа с хемилюминесцентной детекцией с использованием технологии биочипов
Название английское:
Food products, feed, food raw materials, biological objects of animal origin. Method for the detection of anabolic growth promoters by the hemiluminescence immunoenzymatic assay with the use of biochip technology
Даты и сроки
Дата регистрации:
09-25-17
Дата издания:
11-28-18
Дата введения в действие:
01-01-19
Дата завершения срока действия:
-
Применение и описание
Область и условия применения:
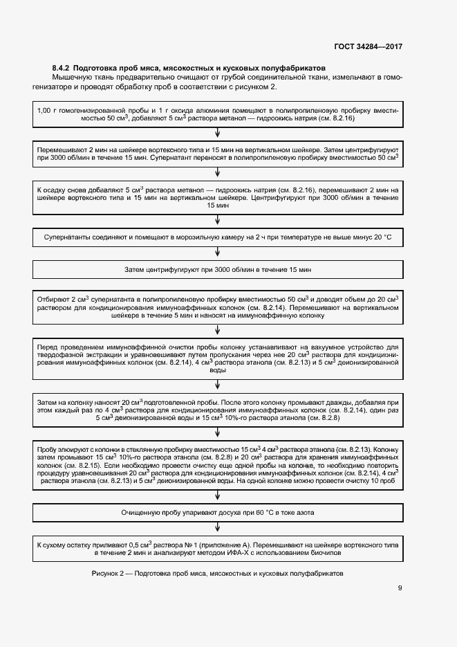
Настоящий стандарт распространяется на пищевые продукты в части мяса всех видов животных (включая бескостное, парное, охлажденное, замороженное, и размороженное), мясокостный и кусковой полуфабрикаты, корма, а также биологические объекты животного происхождения (мочу) и устанавливает иммуноферментный метод с хемилюминесцентной детекцией обнаружения с использованием биочипов в-агонистов (кленбутерол, карбутерол, бромбутерол, салбутамол, метилкленбутерол, тербуталин, мабутерол, пирбутерол, мапентерол, кимбутерол), болденона, кортикостероидов (дексаметазон, флюметазон, бетаметазон), нандролона, рактопамина, станозолола, стильбенов (диэтилстилбестрол, гексэстрол), тренболона, зеранола
Связи и замены
Заменяющий:
-
Описание стандарта
ГОСТ 34284-2017 Продукты пищевые, корма, продовольственное сырье, объекты биологические животного происхождения. Метод обнаружения анаболических стимуляторов роста с помощью иммуноферментного анализа с хемилюминесцентной детекцией с использованием технологии биочипов
Страницы стандарта

















Приложение №1: Поправка к ГОСТ 34284-2017 Обозначение: Поправка к ГОСТ 34284-2017 Дата введения в действие: 08.11.2019
