ГОСТ 7482-2023 Глицерин. Правила приемки и методы испытаний
ГОСТ
Скачать ГОСТ в PDF или DOC бесплатно
Основная информация
Обозначение:
ГОСТ 7482-2023
Статус:
Действует
Тип:
ГОСТ
Название русское:
Глицерин. Правила приемки и методы испытаний
Название английское:
Glycerine. Acceptance rules and test methods
Даты и сроки
Дата регистрации:
05-31-23
Дата издания:
04-07-25
Дата введения в действие:
08-01-24
Дата завершения срока действия:
-
Применение и описание
Область и условия применения:
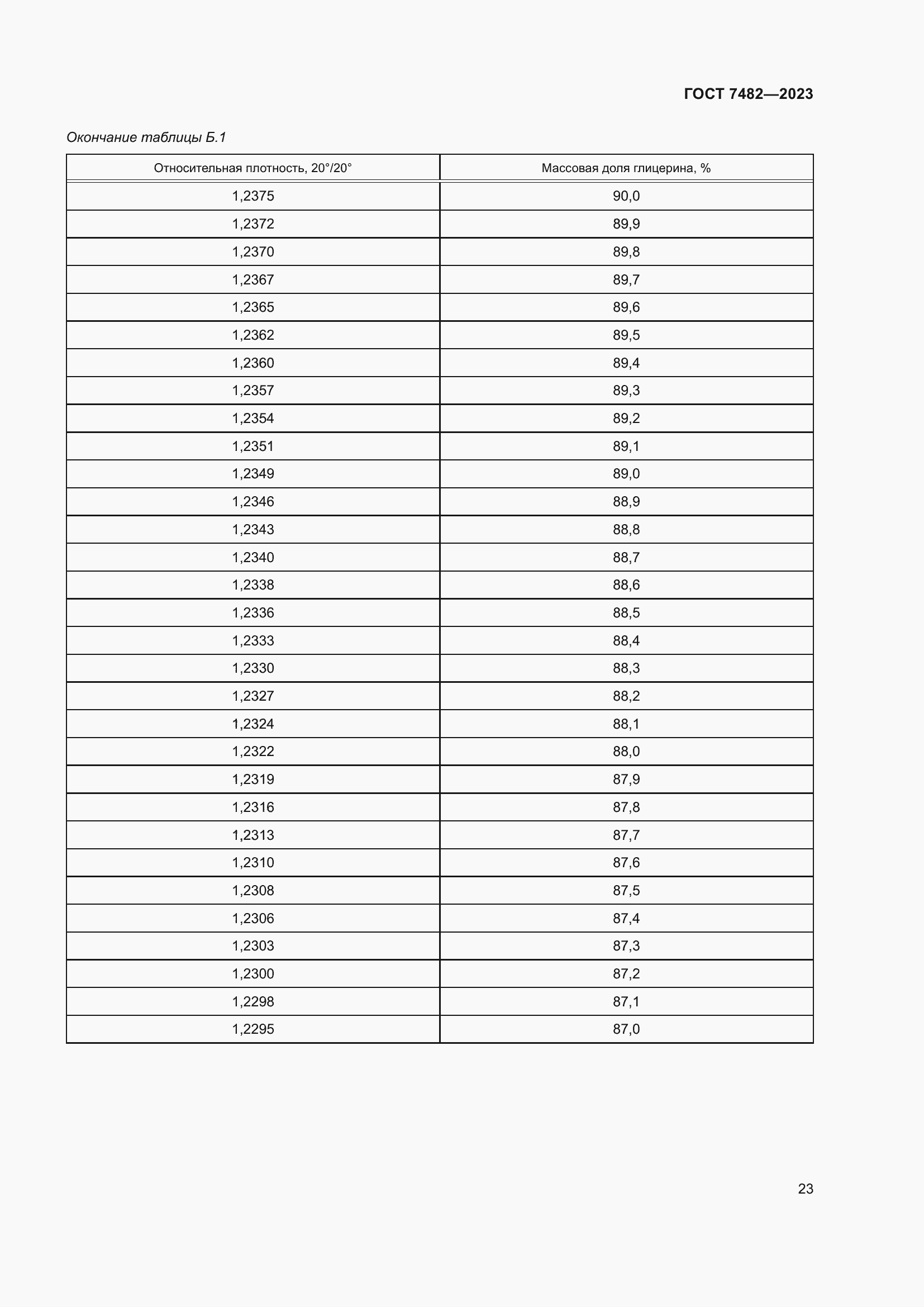
Настоящий стандарт распространяется на натуральный сырой глицерин (далее – сырой глицерин) и дистиллированный глицерин и устанавливает правила приемки и следующие методы испытаний: - для сырого глицерина: определения цвета, прозрачности, присутствия жирных кислот и смол, массовой доли чистого глицерина, белковых веществ, присутствия сернокислых соединений, массовой доли нелетучего органического остатка, реакции глицерина, массовой доли золы; - для дистиллированного глицерина: определения запаха, прозрачности, акролеина и других восстанавливающих веществ, железа, мышьяка, свинца, хлоридов, углеводов, цветного числа, плотности, реакции глицерина, массовой доли чистого глицерина, массовой доли золы, коэффициента омыления, присутствия сернокислых соединений, белковых веществ
Связи и замены
Заменяющий:
-
Взамен:
ГОСТ 7482-96
Описание стандарта
ГОСТ 7482-2023 Глицерин. Правила приемки и методы испытаний
Страницы стандарта





























Приложение №1: Поправка к ГОСТ 7482-2023 Обозначение: Поправка к ГОСТ 7482-2023 Дата введения в действие: 26.03.2024
