ГОСТ EN 303-5-2013 Котлы отопительные. Часть 5. Котлы отопительные для твердого топлива с ручной и автоматической загрузкой топочной камеры номинальной теплопроизводительностью до 500 кВт. Термины и определения, требования, испытания и маркировка
ГОСТ ЕН
Скачать ГОСТ в PDF или DOC бесплатно
Основная информация
Обозначение:
ГОСТ EN 303-5-2013
Статус:
Действует
Тип:
ГОСТ ЕН
Название русское:
Котлы отопительные. Часть 5. Котлы отопительные для твердого топлива с ручной и автоматической загрузкой топочной камеры номинальной теплопроизводительностью до 500 кВт. Термины и определения, требования, испытания и маркировка
Название английское:
Heating boilers. Part 5. Heating boilers for solid fuels, manually and automatically stoked, nominal heat output of up to 500 kW. Terminology, requirements, testing and marking
Даты и сроки
Дата регистрации:
12-27-13
Дата издания:
04-04-24
Дата введения в действие:
04-01-24
Применение и описание
Область и условия применения:
Настоящий стандарт распространяется на котлы отопительные номинальной тепловой мощностью до 500 кВт, предназначенные для сжигания твердого топлива, с естественной или принудительной подачей воздуха на горение, ручной или автоматической загрузкой топлива. В настоящем стандарте рассматриваются существенные опасности, опасные ситуации и события, которые могут возникнуть при использовании котлов по назначению и в соответствии с условиями, установленными изготовителем
Описание стандарта
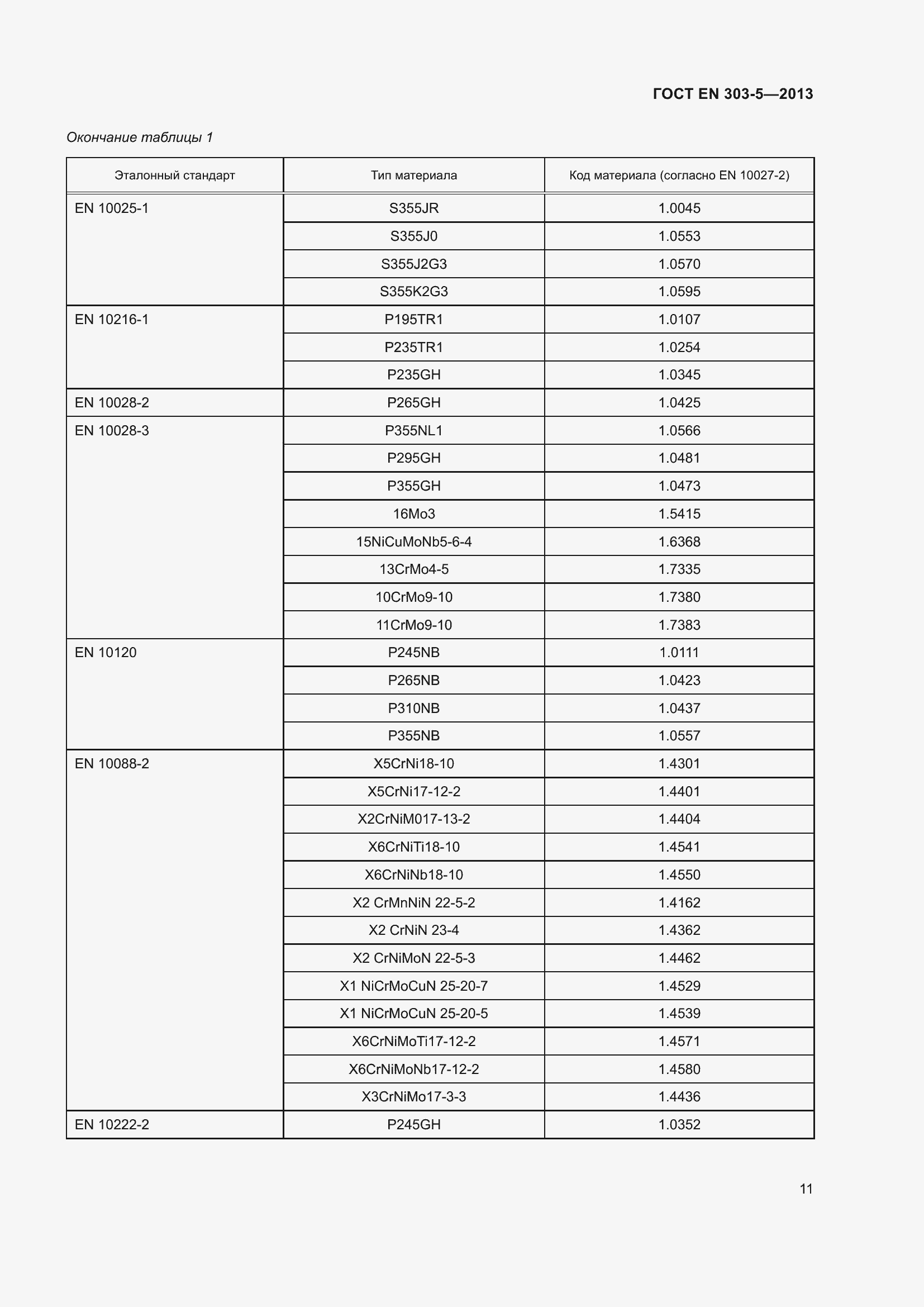
ГОСТ EN 303-5-2013 Котлы отопительные. Часть 5. Котлы отопительные для твердого топлива с ручной и автоматической загрузкой топочной камеры номинальной теплопроизводительностью до 500 кВт. Термины и определения, требования, испытания и маркировка
Страницы стандарта






















































Приложение №1: Поправка к ГОСТ EN 303-5-2013 Обозначение: Поправка к ГОСТ EN 303-5-2013 Дата введения в действие: 24.01.2025
