ГОСТ ISO 2531-2012 Трубы, фитинги, арматура и их соединения из чугуна с шаровидным графитом для водо- и газоснабжения. Технические условия
ГОСТ ИСО
Скачать ГОСТ в PDF или DOC бесплатно
Основная информация
Обозначение:
ГОСТ ISO 2531-2012
Статус:
Заменен
Тип:
ГОСТ ИСО
Название русское:
Трубы, фитинги, арматура и их соединения из чугуна с шаровидным графитом для водо- и газоснабжения. Технические условия
Название английское:
Ductile iron pipes, fittings, accessories and their joints for water or gas applications. Specifications
Даты и сроки
Дата регистрации:
03-15-12
Дата издания:
09-05-13
Дата введения в действие:
01-01-14
Дата завершения срока действия:
01-01-23
Применение и описание
Область и условия применения:
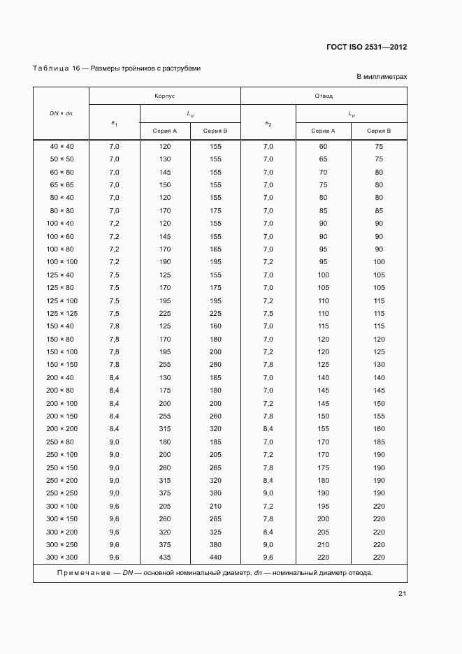
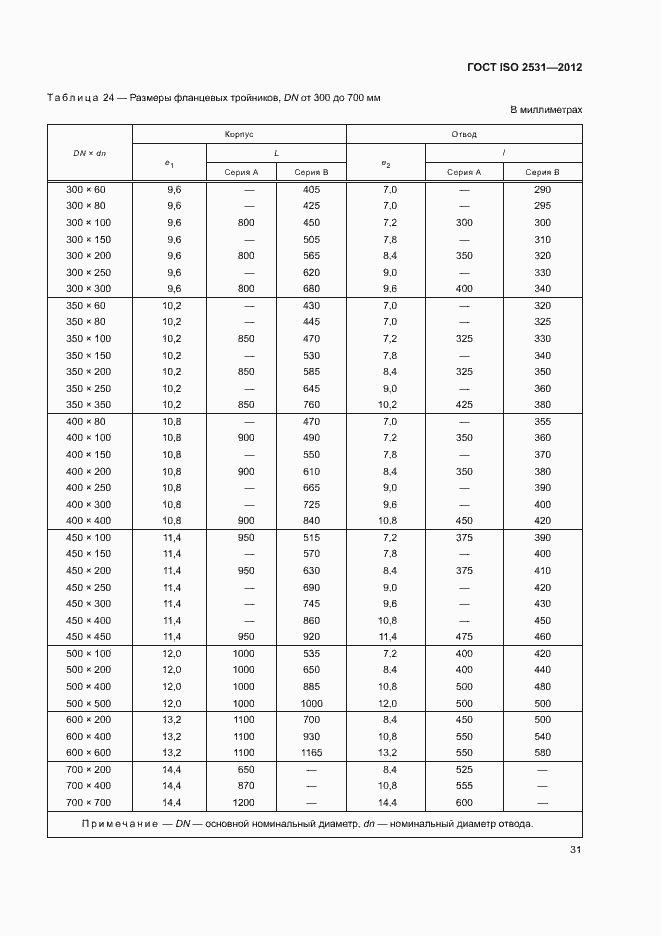
Настоящий стандарт устанавливает требования и методы испытаний труб и соединительных частей из чугуна с шаровидным графитом и их соединений, используемых для изготовления трубопроводов: - для транспортирования воды (например, питьевой воды) или газа (например, природного газа); - работающих под давлением или без давления; - прокладываемых под землей или наземных
Связи и замены
Заменяющий:
ГОСТ ISO 2531-2022
Описание стандарта
ГОСТ ISO 2531-2012 Трубы, фитинги, арматура и их соединения из чугуна с шаровидным графитом для водо- и газоснабжения. Технические условия
Страницы стандарта













































