ГОСТ Р 54480-2011 Прокат тонколистовой холоднокатаный из электротехнической изотропной стали. Технические условия
ГОСТ Р
Скачать ГОСТ в PDF или DOC бесплатно
Основная информация
Обозначение:
ГОСТ Р 54480-2011
Статус:
Отменен
Тип:
ГОСТ Р
Название русское:
Прокат тонколистовой холоднокатаный из электротехнической изотропной стали. Технические условия
Название английское:
Non-grain oriented electrical steel strip. Specifications
Даты и сроки
Дата издания:
05-04-12
Дата введения в действие:
07-01-12
Дата завершения срока действия:
09-01-15
Применение и описание
Область и условия применения:
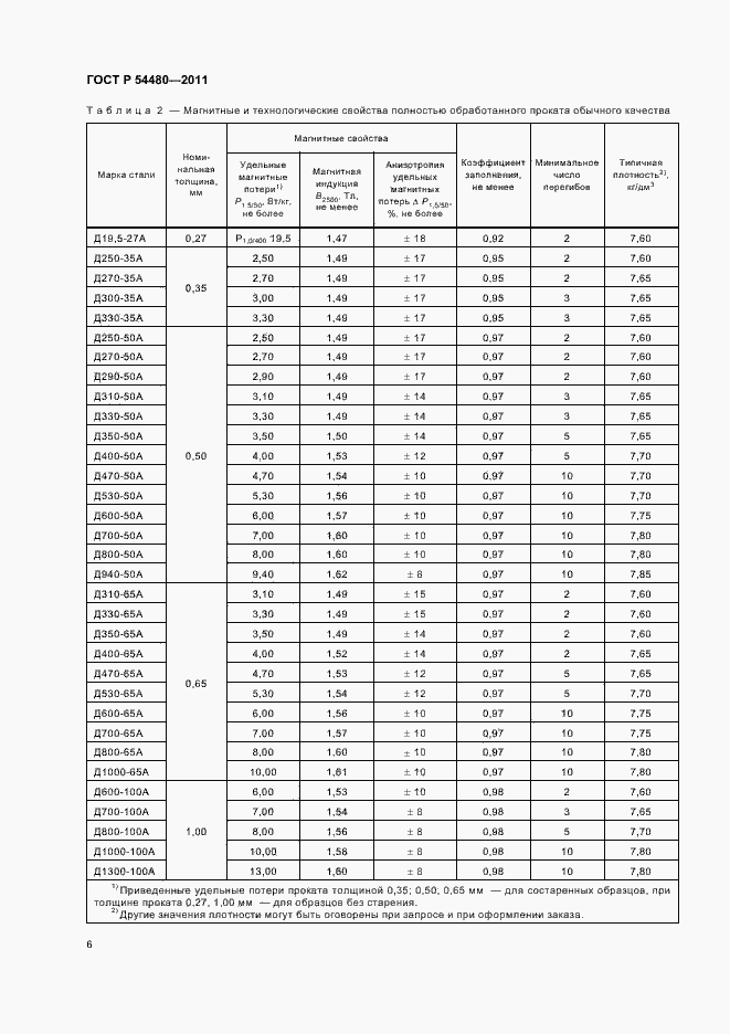
Настоящий стандарт распространяется на тонколистовой холоднокатаный прокат из нелегированной и легированной электротехнической изотропной стали в полностью обработанном состоянии и в виде полупродукта с гарантированными магнитными свойствами, предназначенный для изготовления магнитопроводов (сердечников) различного рода электротехнических устройств
Связи и замены
Заменяющий:
-
Изменения и переиздания
Список изменений:
№0 от (рег. ) «Текстовое изменение; Изменено заглавие»
Описание стандарта
ГОСТ Р 54480-2011 Прокат тонколистовой холоднокатаный из электротехнической изотропной стали. Технические условия
Страницы стандарта



























