ГОСТ Р 56842-2015 Информатизация здоровья. Информационное взаимодействие с персональными медицинскими приборами. Часть 10101. Номенклатура
ГОСТ Р
Скачать ГОСТ в PDF или DOC бесплатно
Основная информация
Обозначение:
ГОСТ Р 56842-2015
Статус:
Действует
Тип:
ГОСТ Р
Название русское:
Информатизация здоровья. Информационное взаимодействие с персональными медицинскими приборами. Часть 10101. Номенклатура
Название английское:
Health informatics. Point-of-care medical device communication. Part 10101. Nomenclature
Даты и сроки
Дата издания:
07-22-16
Дата введения в действие:
11-01-16
Дата завершения срока действия:
-
Применение и описание
Область и условия применения:
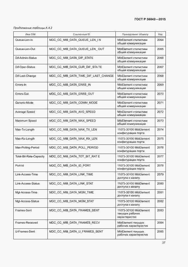
Область применения данного стандарта это архитектура номенклатуры для информационного взаимодействия с персональными медицинскими приборами. Стандарт состоит из трех частей: основной текст стандарта, определяющий общую архитектуру организации и отношения между компонентами номенклатуры; нормативные приложение A и B, содержащие спецификации семантики и синтаксиса, соответственно; информационное приложение C и библиография
Связи и замены
Заменяющий:
-
Описание стандарта
ГОСТ Р 56842-2015 Информатизация здоровья. Информационное взаимодействие с персональными медицинскими приборами. Часть 10101. Номенклатура
Страницы стандарта
























































































































































































































































































































































































































