ГОСТ Р 57661-2017 Сталь нержавеющая общего назначения. Часть 3. Проволока
ГОСТ Р
Скачать ГОСТ в PDF или DOC бесплатно
Основная информация
Обозначение:
ГОСТ Р 57661-2017
Статус:
Действует
Тип:
ГОСТ Р
Название русское:
Сталь нержавеющая общего назначения. Часть 3. Проволока
Название английское:
Stainless steels for general purpose. Part 3. Wire
Даты и сроки
Дата издания:
10-04-17
Дата введения в действие:
04-01-19
Дата завершения срока действия:
-
Применение и описание
Область и условия применения:
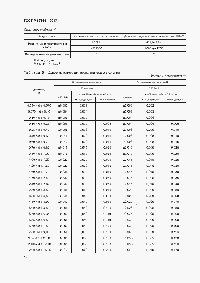
Настоящий стандарт устанавливает требования для нержавеющей проволоки широкого применения, для которой не существует стандарта на продукцию. Настоящий стандарт распространяется на круглую, плоскую и фасонную проволоку (например, квадратного, шестигранного или прямоугольного сечения), изготовленную из наиболее широко используемых типов нержавеющих сталей для устойчивости к общей коррозии и эксплуатации в условиях высокой температуры. Эта проволока может поставляться в бухтах или выпрямленных прутках мерной длины. В дополнении к настоящему стандарту применяются общие технические требования поставки в соответствии с [3]. Из настоящего стандарта исключено следующее: - проволока для высадки, - электродная проволока и - любая проволока, для которой существует соответствующий стандарт на продукцию
Связи и замены
Заменяющий:
-
Описание стандарта
ГОСТ Р 57661-2017 Сталь нержавеющая общего назначения. Часть 3. Проволока
Страницы стандарта























