ГОСТ Р 60.2.2.4-2023 Роботы и робототехнические устройства. Изделия медицинские электрические. Частные требования безопасности с учетом основных функциональных характеристик медицинских роботов для реабилитации, оценки состояния, компенсации или облегчения
ГОСТ Р
Скачать ГОСТ в PDF или DOC бесплатно
Основная информация
Обозначение:
ГОСТ Р 60.2.2.4-2023
Статус:
Действует
Тип:
ГОСТ Р
Название русское:
Роботы и робототехнические устройства. Изделия медицинские электрические. Частные требования безопасности с учетом основных функциональных характеристик медицинских роботов для реабилитации, оценки состояния, компенсации или облегчения
Название английское:
Robots and robotic devices. Medical electrical equipment. Particular requirements for the safety and basic performance of medical robots for rehabilitation, assessment, compensation or alleviation
Даты и сроки
Дата издания:
10-09-23
Дата введения в действие:
01-01-24
Дата завершения срока действия:
-
Применение и описание
Область и условия применения:
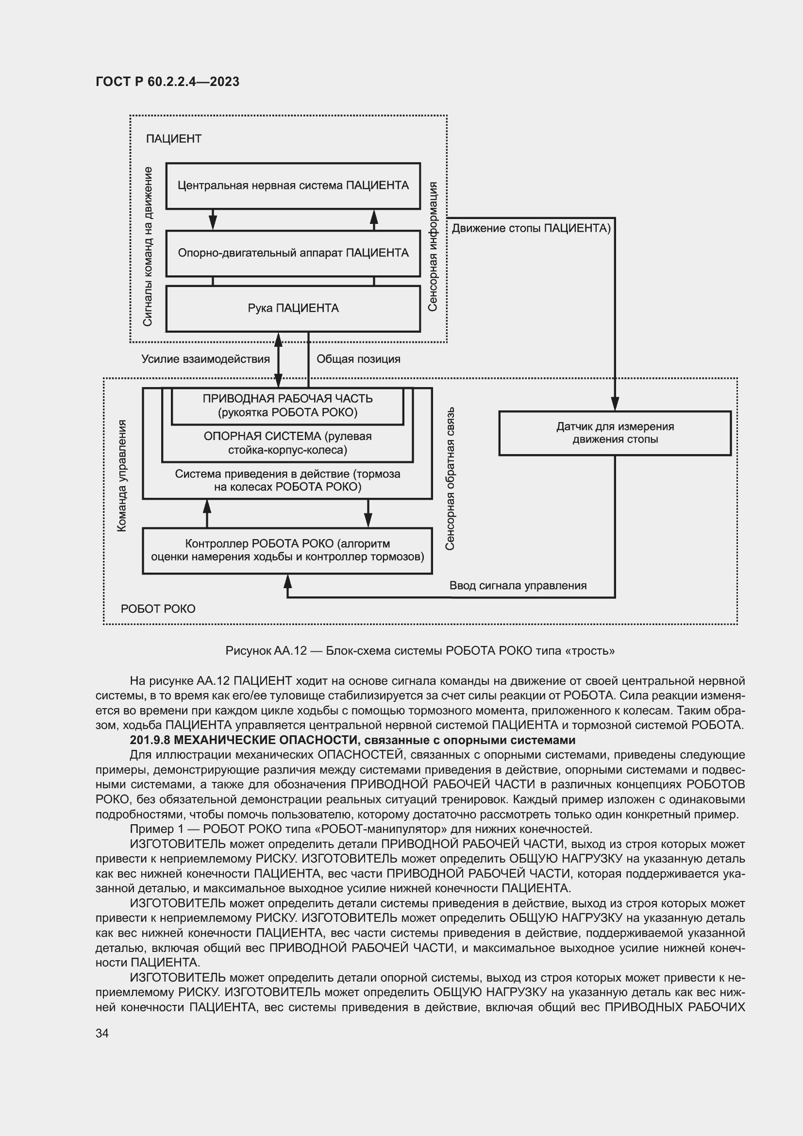
Настоящий стандарт устанавливает требования к безопасности и основным функциональным характеристикам медицинских роботов, которые физически взаимодействуют с пациентом с нарушениями двигательных функций для осуществления реабилитации, оценки состояния, компенсации или облегчения, как это предусмотрено изготовителем.если пункт или подпункт настоящего стандарта распространяется только на медицинские электрические изделия (МЭИ) или только на медицинские электрические системы (МЭС), то это будет указано в заголовке и тексте данного пункта или подпункта. в противном случае пункт или подпункт распространяется и на МЭИ, и на МЭС. Настоящий стандарт не распространяется: - на наружные протезы конечностей (см. ГОСТ Р ИСО 22523); - электрические инвалидные коляски (см. серию стандартов под общим наименованием «Кресла-коляски»); - диагностическое оборудование с визуализацией (например, МРТ, см. ГОСТ Р МЭК 60601-2-33); - роботы для персонального ухода (см. ГОСТ Р 60.2.2.1)
Связи и замены
Заменяющий:
-
Описание стандарта
ГОСТ Р 60.2.2.4-2023 Роботы и робототехнические устройства. Изделия медицинские электрические. Частные требования безопасности с учетом основных функциональных характеристик медицинских роботов для реабилитации, оценки состояния, компенсации или облегчения
Страницы стандарта

































































