ГОСТ Р 70761-2023 Трубы обсадные и насосно-компрессорные. Общие технические условия
ГОСТ Р
Скачать ГОСТ в PDF или DOC бесплатно
Основная информация
Обозначение:
ГОСТ Р 70761-2023
Статус:
Действует
Тип:
ГОСТ Р
Название русское:
Трубы обсадные и насосно-компрессорные. Общие технические условия
Название английское:
Casing and tubing. General specifications
Даты и сроки
Дата издания:
08-25-23
Дата введения в действие:
09-01-23
Дата завершения срока действия:
-
Применение и описание
Область и условия применения:
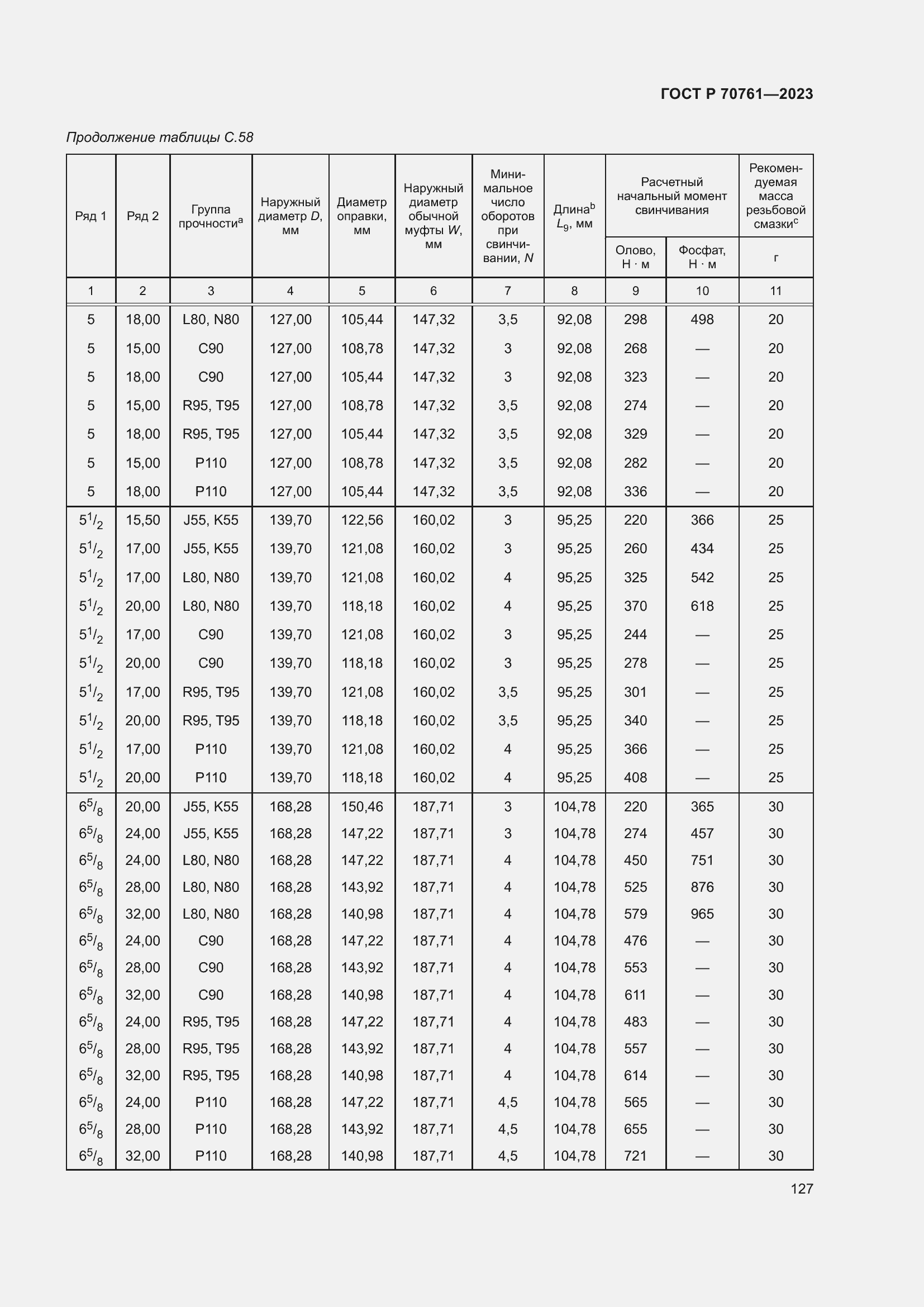
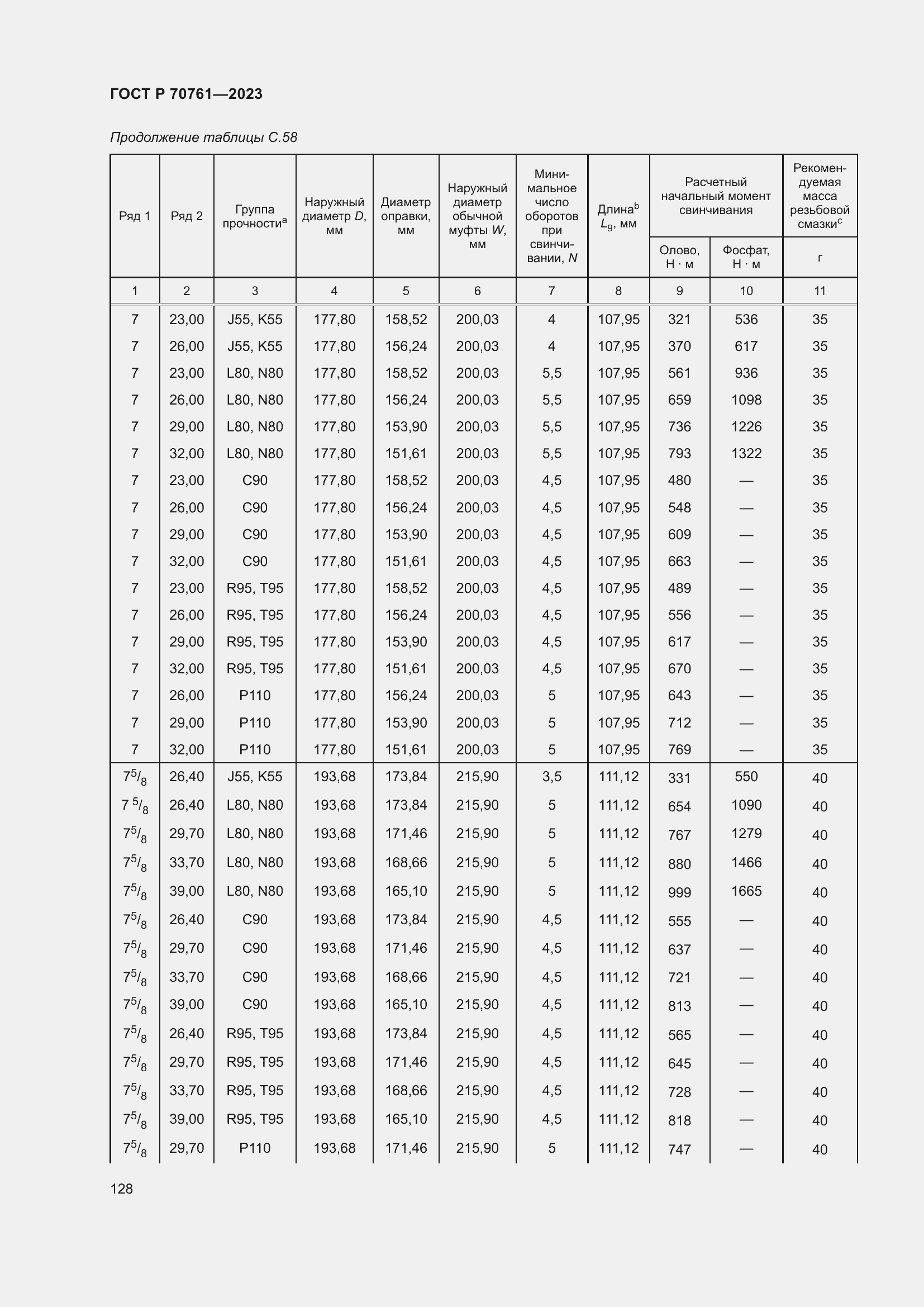
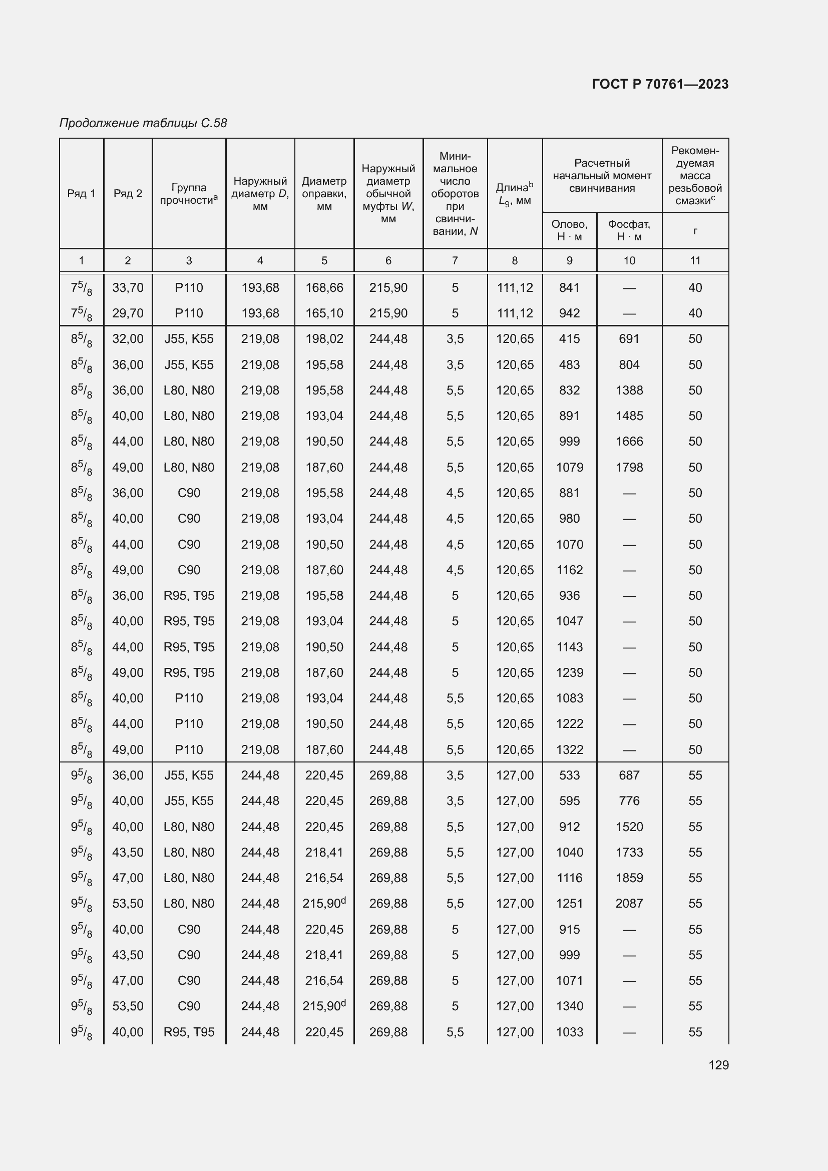
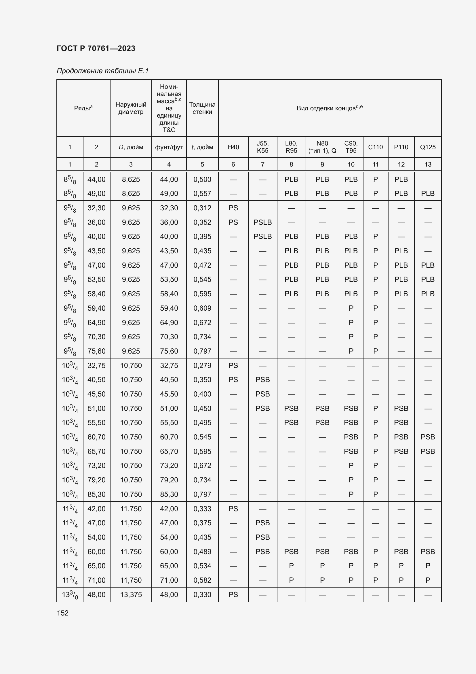
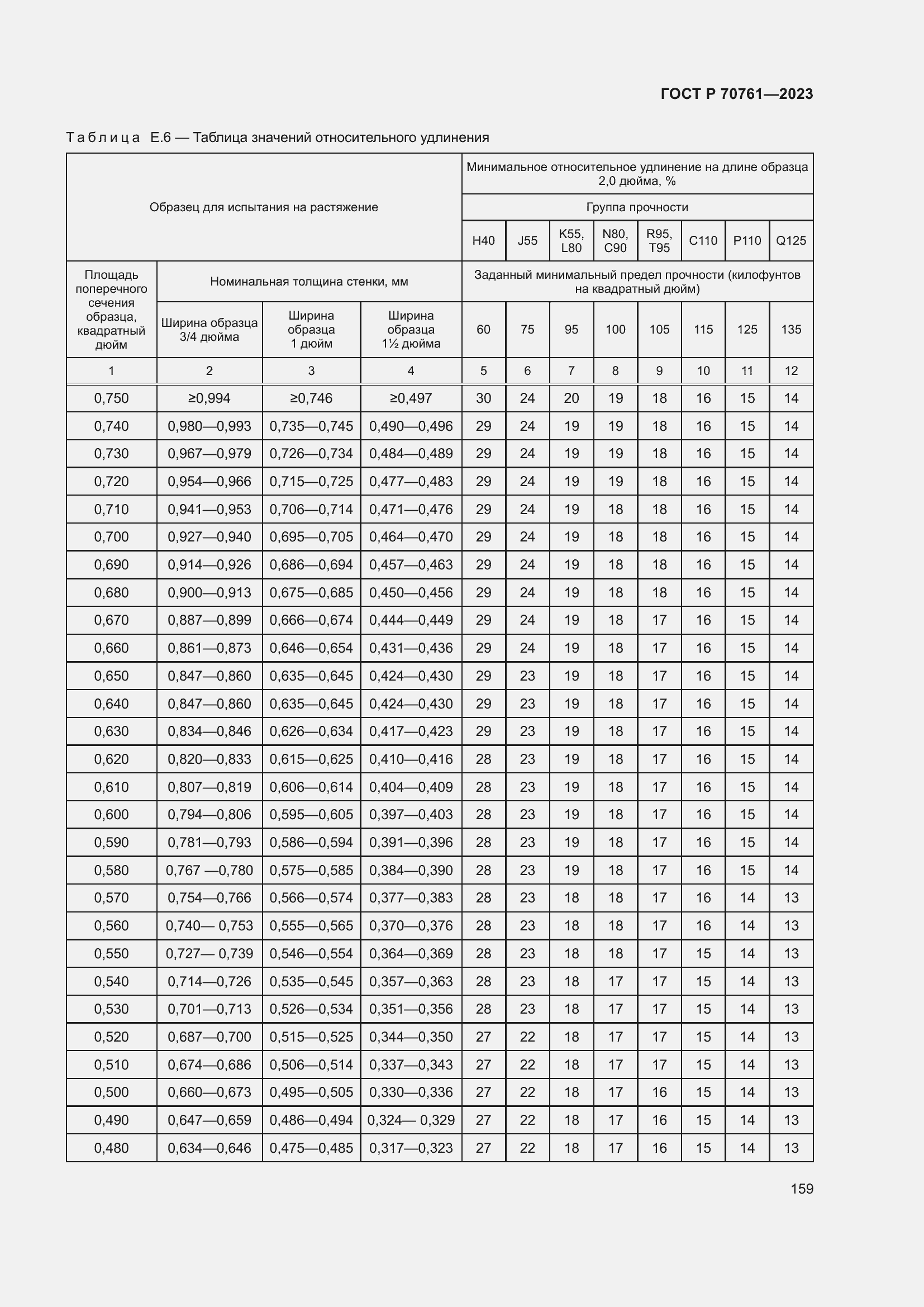
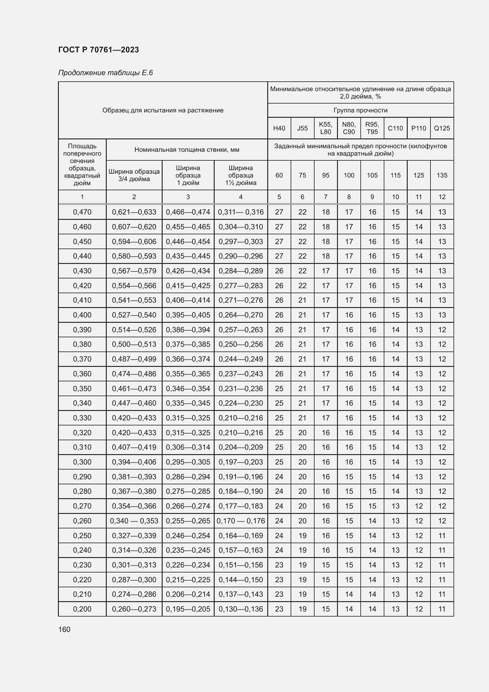
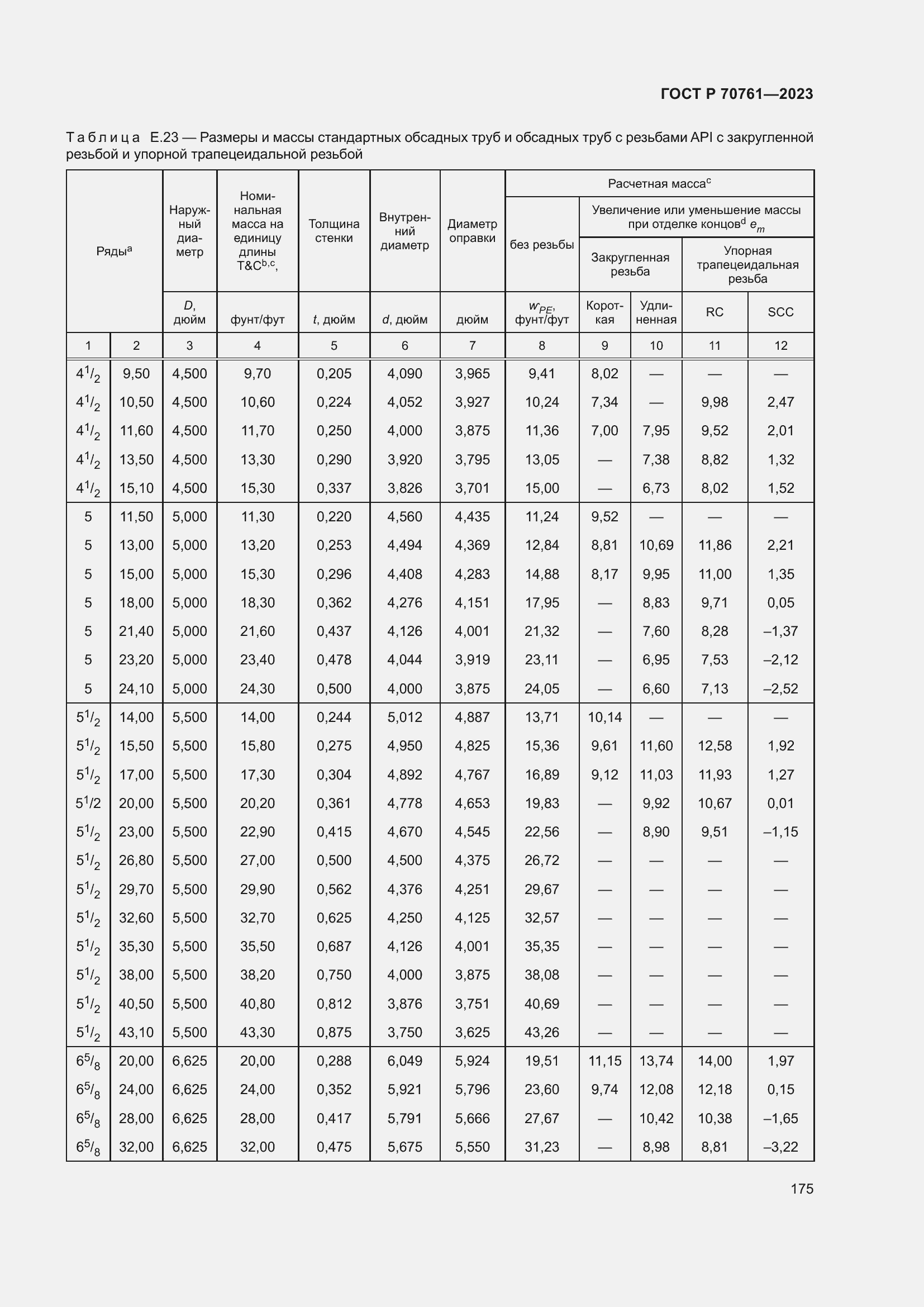
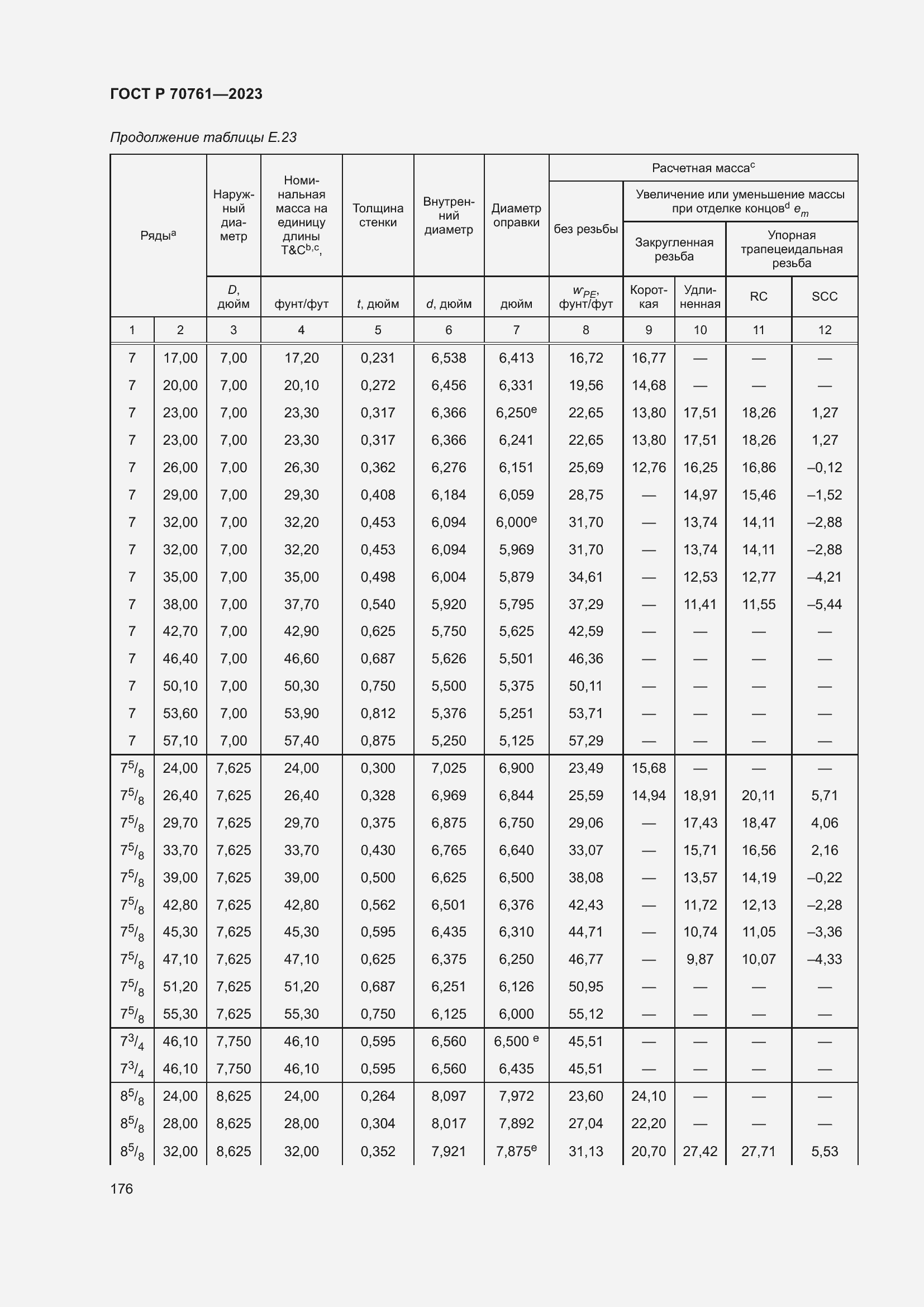
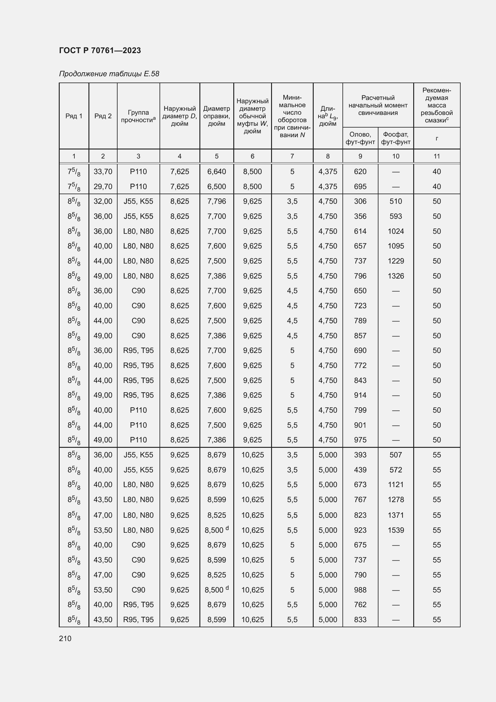
Настоящий стандарт устанавливает требования к стальным трубам (обсадным, насосно-компрессорным и коротким трубам), трубным заготовкам для муфт, заготовкам для муфт и заготовкам для соединительных деталей, изготавливаемым по трем уровням требований к изделиям (PSL-1, PSL-2, PSL-3). Требования, установленные в настоящем стандарте, являются требованиями PSL-1. Требования PSL-2 и PSL-3 для всех групп прочности, кроме H-40, L80 (9Cr и C110), также приведены в настоящем стандарте. Для тех труб, на которые распространяется настоящий стандарт, приведены размеры, масса и толщина стенки, а также группы прочности и применяемая отделка концов. Трубы по настоящему стандарту могут быть заказаны в качестве обсадных труб в соответствии с API 5C6
Связи и замены
Заменяющий:
-
Описание стандарта
ГОСТ Р 70761-2023 Трубы обсадные и насосно-компрессорные. Общие технические условия
Страницы стандарта































































































































































































































































Приложение №1: Поправка к ГОСТ Р 70761-2023 Обозначение: Поправка к ГОСТ Р 70761-2023 Дата введения в действие: 01.03.2024
