ГОСТ Р 71480-2024 Приборы ферритовые сверхвысокой частоты. Методы измерения фазового сдвига на низком уровне мощности
ГОСТ Р
Скачать ГОСТ в PDF или DOC бесплатно
Основная информация
Обозначение:
ГОСТ Р 71480-2024
Статус:
Действует
Тип:
ГОСТ Р
Название русское:
Приборы ферритовые сверхвысокой частоты. Методы измерения фазового сдвига на низком уровне мощности
Название английское:
Microwave ferrite devices. Methods of measurement of phase shift at a low power level
Даты и сроки
Дата издания:
07-17-24
Дата введения в действие:
03-01-25
Дата завершения срока действия:
-
Применение и описание
Область и условия применения:
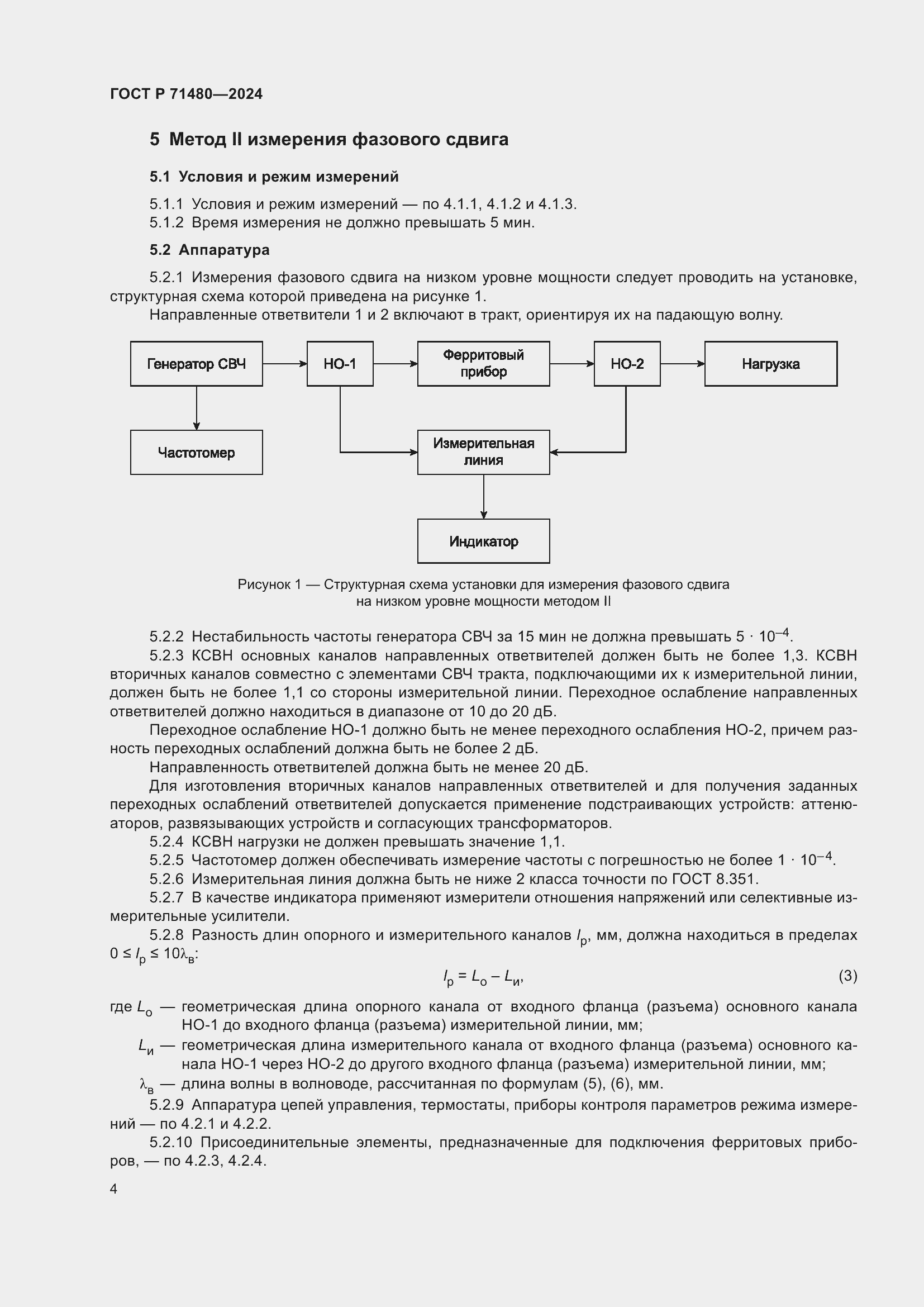
Настоящий стандарт устанавливает методы измерения фазовых сдвигов: начального фазового сдвига ферритовых фазовращателей, вентилей, циркуляторов, переключателей, фильтров и ограничителей (далее - ферритовые приборы) и управляемого фазового сдвига фазовращателей на низком уровне мощности. Настоящий стандарт устанавливает три метода измерения фазового сдвига ферритовых приборов: - метод I - для измерения фазового сдвига с использованием стандартной измерительной аппаратуры, позволяющей измерять фазовый сдвиг, разность фаз и фазу СВЧ-сигнала; - метод II - для измерения фазового сдвига с использованием измерительных линий; - метод III - для измерения фазового сдвига с использованием калиброванных фазовращателей
Связи и замены
Заменяющий:
-
Описание стандарта
ГОСТ Р 71480-2024 Приборы ферритовые сверхвысокой частоты. Методы измерения фазового сдвига на низком уровне мощности
Страницы стандарта



















