ГОСТ Р 71766-2024 Экологический менеджмент. Учет затрат на материальные потоки. Общие положения
ГОСТ Р
Скачать ГОСТ в PDF или DOC бесплатно
Основная информация
Обозначение:
ГОСТ Р 71766-2024
Статус:
Действует
Тип:
ГОСТ Р
Название русское:
Экологический менеджмент. Учет затрат на материальные потоки. Общие положения
Название английское:
Environmental management. Material flow cost accounting. General framework
Даты и сроки
Дата издания:
11-25-24
Дата введения в действие:
01-01-25
Дата завершения срока действия:
-
Применение и описание
Область и условия применения:
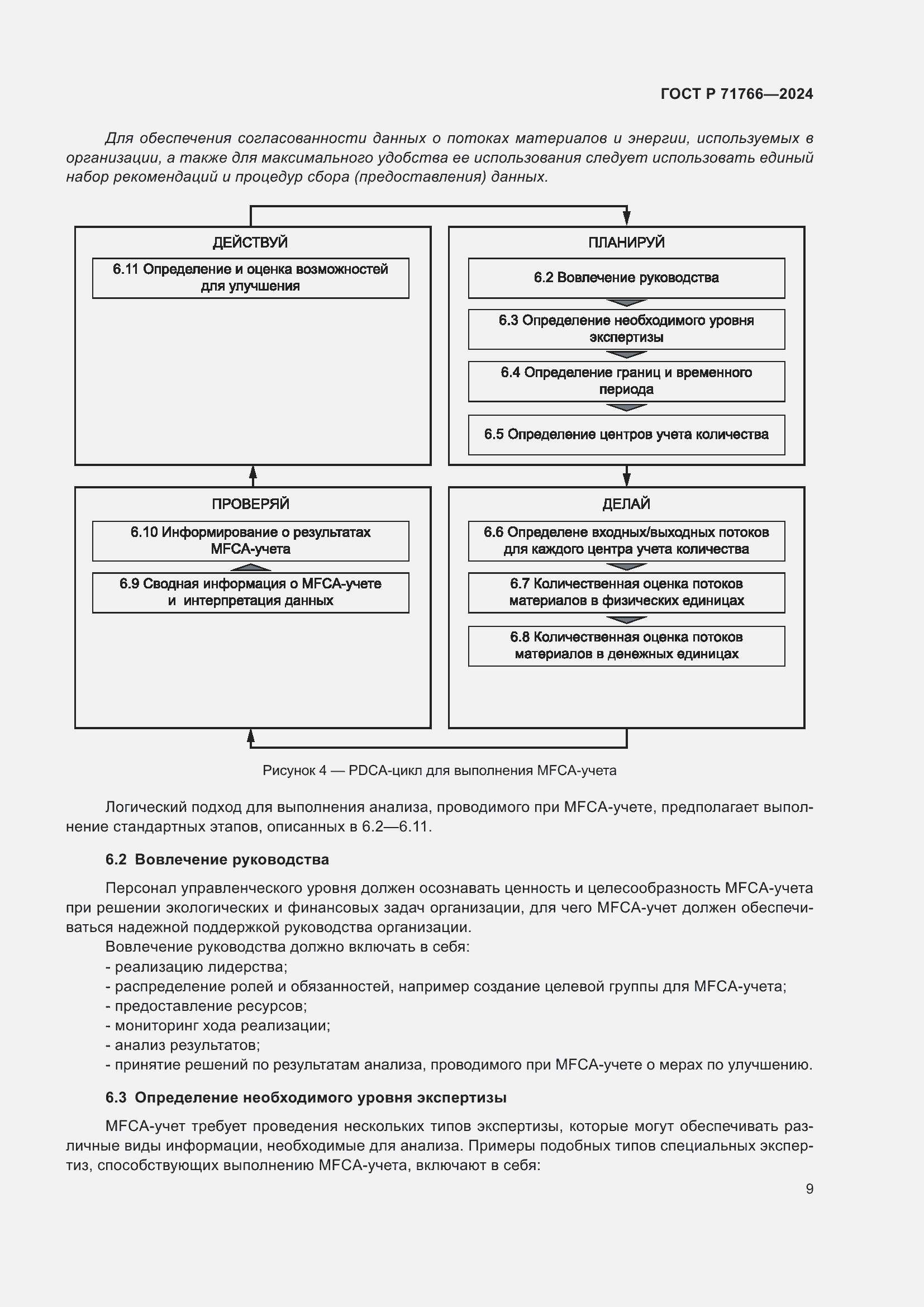
Настоящий стандарт устанавливает общие положения учета затрат на материальные потоки, в рамках которого в организации отслеживают и количественно оценивают (в физических единицах, например, по массе или объему) потоки и запасы материалов, а также затраты, связанные с материальными потоками. Получаемая при этом информация может действовать как фактор мотивации организаций и менеджеров для изыскания ими возможностей одновременного получения финансовых выгод и уменьшения воздействия на окружающую среду. MFCA-учет распространяется на любую организацию, которая использует материалы и энергию, независимо от выпускаемой ей продукции, предоставляемых услуг, размера, структуры, местоположения и действующих систем менеджмента и управленческого учета
Связи и замены
Заменяющий:
-
Взамен:
ГОСТ Р ИСО 14051-2014
Описание стандарта
ГОСТ Р 71766-2024 Экологический менеджмент. Учет затрат на материальные потоки. Общие положения
Страницы стандарта







































