ГОСТ Р ИСО 16634-1-2011 Продукты пищевые. Определение общего содержания азота путем сжигания по методу Дюма и расчет содержания сырого протеина. Часть 1. Масличные культуры и корма для животных
ГОСТ Р ИСО
Скачать ГОСТ в PDF или DOC бесплатно
Основная информация
Обозначение:
ГОСТ Р ИСО 16634-1-2011
Статус:
Действует
Тип:
ГОСТ Р ИСО
Название русское:
Продукты пищевые. Определение общего содержания азота путем сжигания по методу Дюма и расчет содержания сырого протеина. Часть 1. Масличные культуры и корма для животных
Название английское:
Food products. Determination of the total nitrogen content by combustion according to the Dumas principle and calculation of the crude protein content. Part 1. Oilseeds and animal feeding stuffs
Даты и сроки
Дата издания:
04-16-20
Дата введения в действие:
07-01-13
Дата завершения срока действия:
-
Применение и описание
Область и условия применения:
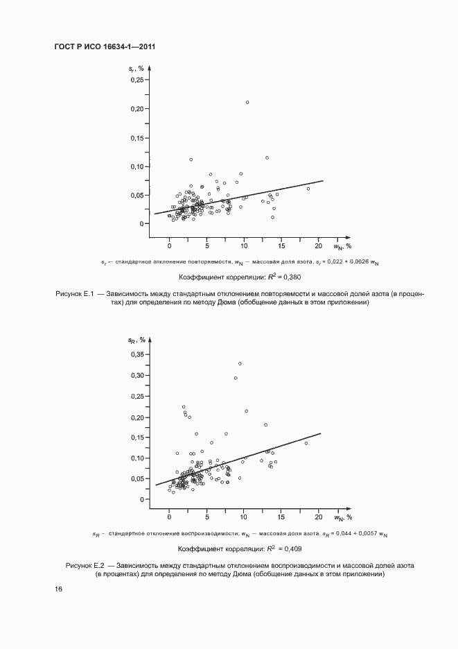
Настоящая часть стандарта устанавливает метод определения общего содержания азота и расчет содержания сырого протеина в масличных культурах и кормах для животных. Настоящий метод, как и метод Кьельдаля, не делает различий между протеиновым азотом и не протеиновым азотом. Для расчета содержания сырого протеина используются различные коэффициенты пересчета (см. приложение D). Настоящий метод не применим к молоку и молочной продукции, для которых метод установлен в ИСО 14891[10]
Связи и замены
Заменяющий:
-
Описание стандарта
ГОСТ Р ИСО 16634-1-2011 Продукты пищевые. Определение общего содержания азота путем сжигания по методу Дюма и расчет содержания сырого протеина. Часть 1. Масличные культуры и корма для животных
Страницы стандарта



























