ГОСТ Р ИСО 23717-2017 Проволока стальная и изделия из нее. Проволока для армирования рукавов
ГОСТ Р ИСО
Скачать ГОСТ в PDF или DOC бесплатно
Основная информация
Обозначение:
ГОСТ Р ИСО 23717-2017
Статус:
Действует
Тип:
ГОСТ Р ИСО
Название русское:
Проволока стальная и изделия из нее. Проволока для армирования рукавов
Название английское:
Steel wire and wire products. Hose reinforcement wire
Даты и сроки
Дата издания:
07-12-17
Дата введения в действие:
01-01-19
Дата завершения срока действия:
-
Применение и описание
Область и условия применения:
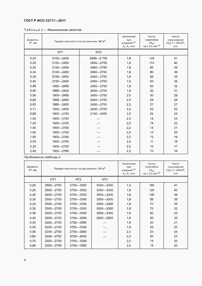
Настоящий стандарт устанавливает химический состав стали, размеры и механические свойства стальной проволоки из высокоуглеродистых марок стали, как правило, с латунным покрытием, предназначенной для армирования рукавов (шлангов) высокого давления. Настоящий стандарт распространяется на проволоку, образующую параллельную или спиральную оплетку для армирования резинового или синтетического рукава (шланга), для того, чтобы он мог выдерживать относительно высокое разрывное давление
Связи и замены
Заменяющий:
-
Описание стандарта
ГОСТ Р ИСО 23717-2017 Проволока стальная и изделия из нее. Проволока для армирования рукавов
Страницы стандарта










