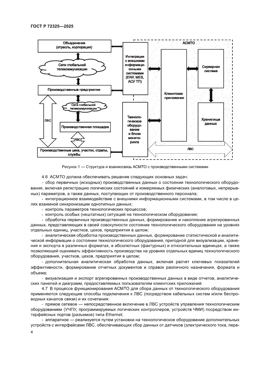
ГОСТ Р 72325-2025 Цифровая станкоинструментальная промышленность. Автоматизированная система мониторинга технологического оборудования. Общие положения
Межгосударственный стандарт
Скачать ГОСТ в PDF или DOC бесплатно
Основная информация
Обозначение:
ГОСТ Р 72325-2025
Статус:
Действует
Название русское:
Цифровая станкоинструментальная промышленность. Автоматизированная система мониторинга технологического оборудования. Общие положения
Название английское:
Digital machine tool industry. Automated system for process equipment monitoring. General points
Даты и сроки
Дата введения в действие:
01-01-26
Описание стандарта
ГОСТ Р 72325-2025 Цифровая станкоинструментальная промышленность. Автоматизированная система мониторинга технологического оборудования. Общие положения
Страницы стандарта











