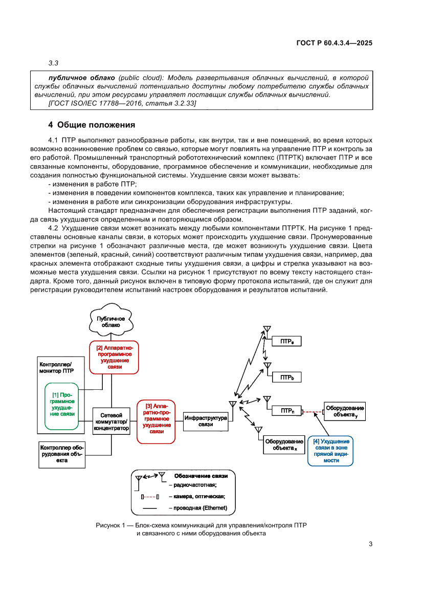
ГОСТ Р 60.4.3.4-2025 Роботы и робототехнические устройства. Промышленные транспортные роботы. Руководство по организации ухудшения связи при проведении испытаний на стадиях жизненного цикла
Межгосударственный стандарт
Скачать ГОСТ в PDF или DOC бесплатно
Основная информация
Обозначение:
ГОСТ Р 60.4.3.4-2025
Статус:
Действует
Название русское:
Роботы и робототехнические устройства. Промышленные транспортные роботы. Руководство по организации ухудшения связи при проведении испытаний на стадиях жизненного цикла
Название английское:
Robots and robotic devices. Industrial transport robots. Guidelines for the implementing communications impairments during testing at life cycle stages
Даты и сроки
Дата введения в действие:
01-01-26
Описание стандарта
ГОСТ Р 60.4.3.4-2025 Роботы и робототехнические устройства. Промышленные транспортные роботы. Руководство по организации ухудшения связи при проведении испытаний на стадиях жизненного цикла
Страницы стандарта



















