ГОСТ Р ИСО 24502-2012 Эргономическое проектирование. Требования к яркости и контрастности цветных источников света для людей различных возрастных категорий
ГОСТ Р ИСО
Скачать ГОСТ в PDF или DOC бесплатно
Основная информация
Обозначение:
ГОСТ Р ИСО 24502-2012
Статус:
Действует
Тип:
ГОСТ Р ИСО
Название русское:
Эргономическое проектирование. Требования к яркости и контрастности цветных источников света для людей различных возрастных категорий
Название английское:
Ergonomics design. Specification of age-related luminance contrast for coloured light
Даты и сроки
Дата издания:
09-27-19
Дата введения в действие:
12-01-13
Дата завершения срока действия:
-
Применение и описание
Область и условия применения:
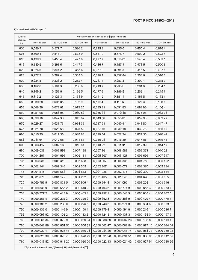
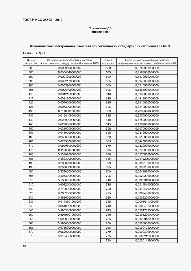
Настоящий стандарт устанавливает требования к яркости и контрастности источников света различных цветов, видимых человеком, связанных с возрастными изменениями спектральной световой эффективности глаза. Настоящий стандарт устанавливает основной метод вычисления связанного с возрастом яркостного контраста, который может быть использован при проектировании источников света, визуальных знаков и дисплеев. Стандарт также может быть применен к самосветящемуся или отраженному свету визуальных знаков и дисплеев, наблюдаемому в условиях умеренной яркости (дневное, фотопическое зрение), спектральная плотность энергетической яркости которого известна или может быть измерена
Связи и замены
Заменяющий:
-
Описание стандарта
ГОСТ Р ИСО 24502-2012 Эргономическое проектирование. Требования к яркости и контрастности цветных источников света для людей различных возрастных категорий
Страницы стандарта















