ГОСТ Р ИСО 12620-2012 Терминология, другие языковые ресурсы и ресурсы содержания. Спецификация категорий данных и ведение реестра категорий данных для языковых ресурсов
ГОСТ Р ИСО
Скачать ГОСТ в PDF или DOC бесплатно
Основная информация
Обозначение:
ГОСТ Р ИСО 12620-2012
Статус:
Действует
Тип:
ГОСТ Р ИСО
Название русское:
Терминология, другие языковые ресурсы и ресурсы содержания. Спецификация категорий данных и ведение реестра категорий данных для языковых ресурсов
Название английское:
Terminology and other language and content resources. Specification of data categories and management of a Data Category Registry for language resources
Даты и сроки
Дата издания:
05-29-20
Дата введения в действие:
01-01-14
Дата завершения срока действия:
-
Применение и описание
Область и условия применения:
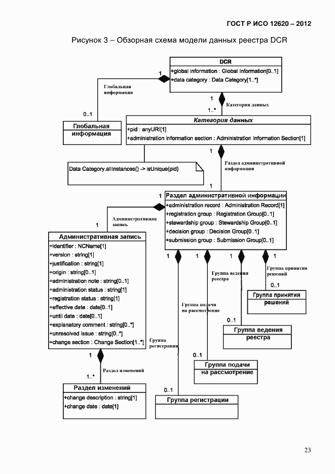
В настоящем стандарте приведены руководящие указания относительно ограничений реализации реестра категорий данных (DCR) для любых типов языковых ресурсов, например, терминологических, лексикографических, основанных на использовании сборников или машинного перевода и т.д. В настоящем стандарте определены механизмы создания, выбора и ведения категорий данных, а также формат обмена для представления этих категорий
Связи и замены
Заменяющий:
-
Описание стандарта
ГОСТ Р ИСО 12620-2012 Терминология, другие языковые ресурсы и ресурсы содержания. Спецификация категорий данных и ведение реестра категорий данных для языковых ресурсов
Страницы стандарта








































































